Análisis de indicadores de gestión del servicio de cirugía en una institución de salud de alta complejidad*

Analysis of Indicators of Surgical Services Management at a Tertiary Care Center

DOI 10.22430/24223182.1852 Tablas Figuras

Recibido: 25 de mayo de 2021
Aceptado: 21 de septiembre de 2021

Cómo referenciar / How to cite
Uribe-Gómez, J. A., Barrientos-Gómez, J. G. (2022). Análisis de indicadores de gestión del servicio de cirugía en una institución de salud de alta complejidad. Revista CEA, v. 8, n. 16, e1852. https://doi.org/10.22430/24223182.1852

 

Resumen

En la actualidad existe un creciente interés por parte de clínicas y hospitales en analizar los datos generados en los procesos hospitalarios, especialmente en las áreas quirúrgicas, esto con el fin de implementar estándares que permitan llegar a buenas prácticas asistenciales y optimizar los procesos de prestación de servicios. Por lo tanto, el objetivo de este estudio fue analizar, mediante herramientas estadísticas, los datos pertenecientes a los indicadores generados en el proceso de quirófanos en una institución de salud de alta complejidad. La metodología utilizada se centró en aplicar análisis estadístico exploratorio y control estadístico en una colección de datos desde el 2004 hasta el 2019 para cuatro indicadores principales: número de intervenciones quirúrgicas, porcentaje de utilización de quirófanos, porcentaje de utilización de quirófanos para cirugías electivas y porcentaje de cancelación de cirugías. Como hallazgos se determinó el comportamiento y la interpretación de los cuatro indicadores principales pertenecientes al proceso de quirófanos, donde se observa que existe una necesidad de establecer controles y estándares al proceso mediante la estructuración y creación de herramientas de análisis de indicadores. Se espera que lo anterior contribuya en la adecuada toma de decisiones científicas y administrativas a los órganos encargados del control asistencial en las unidades de salud.

Palabras clave: indicadores de gestión, área quirúrgica, control estadístico, instituciones de salud.
Clasificación JEL: C220, I10, I120.


Highlights

  • El uso de métodos de análisis de datos para el control de factores e indicadores en servicios es clave en el área quirúrgica para mejorar los procesos y la prestación del servicio.
  • La aplicación del análisis estadístico y el control de procesos en servicios asistenciales en organizaciones sirve para la detección de anomalías y propuesta de estándares en procesos y servicios.
  • El análisis de indicadores sirven para generar estrategias de planeación y predictibilidad para el mejoramiento de los servicios y procesos.
  • Abstract

    Nowadays, clinics and hospitals are increasingly interested in analyzing the data generated during hospital procedures, especially regarding operating rooms, to implement standards that result in good health care practices and optimize service provision. Therefore, the objective of this study was to analyze, using statistical tools, the data of indicators generated by operating room processes at a tertiary care center. The methodology adopted here was focused on applying exploratory statistical analysis and statistical control to four main indicators of operating rooms (collected between 2004 and 2019): number of surgical interventions, operating room use, operating room use for elective surgeries, and surgery cancellation rate. The behavior of these indicators was determined and interpreted. It was observed that process controls and standards should be established by structuring and creating indicator analysis tools. This should help the areas in charge of health care control at health care units to make adequate scientific and managerial decisions.

    Keywords: Management indicators, operating room, statistical control, healthcare institutions.
    JEL classification: C220, I10, I120.


    Highlights

  • Using data analysis methods to control service factors and indicators is key to improving the processes and service provision of operating rooms.
  • Applying statistical analysis and process control in health care organizations serves to detect anomalies and propose standards for processes and services.
  • Indicator analysis can be used to generate planning and prediction strategies to improve services and processes.
  • 1. INTRODUCCIÓN

    La demanda de mejores servicios hospitalarios es una realidad que actualmente afrontan las instituciones de salud, entendiendo que dichos servicios son un bien fundamental de las personas y que la atención es un derecho que está evolucionando (Jabalera et al., 2019; Schmidt et al. 2017). Este fenómeno ha motivado la aparición y el uso de diferentes herramientas organizacionales y administrativas para comprender la dinámica de dicho suceso.

    Servicios de salud, como clínicas y hospitales, son organizaciones muy complejas (Pettersen y Nyland, 2006; Lima y Câmara, 2016) y con retos y dificultades de gestión, en su evaluación y en la presentación de sus resultados (Waelkens et al., 2017). En décadas recientes, este panorama ha cambiado notablemente en los aspectos técnicos y por el uso constante de herramientas tecnológicas y métodos administrativos (Fleury et al., 2018), sin embargo, quedan muchas brechas para asegurar el nivel de conocimiento adecuado que permita la evaluación de la eficacia, la eficiencia y los resultados (Temes y Mengíbar, 2011). Estos conceptos se enmarcan en la gestión clínica, la cual permite plantear el desarrollo de las organizaciones hospitalarias; no obstante, desde el concepto teórico, esto parece sencillo y directo, ya que existen dificultades con las cuales dichas organizaciones deben enfrentarse, como la separación entre el personal asistencial y el administrativo y la baja utilización de la información generada por parte del personal asistencial (Font et al., 2008). A partir de esta situación, se ha encontrado que los indicadores de gestión han sido una manera eficiente para gestionar y controlar la operación en cualquier entidad (van Oudenhoven et al., 2018), ya sea de bienes o servicios; de igual manera, han representado un poderoso instrumento para la administración (Garcia y Fugulin, 2012). Por lo tanto, en el entorno hospitalario, el profesional administrador de servicios de salud deberá garantizar, a través de los indicadores entre otras metodologías, la evaluación, efectividad, desempeño, cobertura e impacto de las actividades en salud (Villalbí et al., 2010; Jiang et al., 2020), que faciliten y fortalezcan la planeación y gestión de los servicios (Uribe-Gómez, 2018). Por tal motivo, la problemática que se pretende abordar en esta investigación radica en cómo aplicar mecanismos de control y uso de la información perteneciente al monitoreo de los indicadores de gestión de quirófanos, y cómo, usando el control estadístico de procesos, se pueden tener propuestas de valor que ayuden en la administración al profesional en salud.

    Los indicadores, por definición, «son instrumentos de medición construidos teóricamente para ser aplicados a un conjunto de unidades de análisis con el propósito de producir un número que cuantifica algún concepto asociado a ese colectivo» (López Pardo y Alonso Galbán, 2011), adicional, permiten la monitorización continua y el seguimiento de los datos generados desde la operación asistencial, con el fin de detectar la aparición de eventos adversos, y por lo tanto, sugerir mejoras para la solución de las problemáticas (Martínez Rodenas et al., 2014). En síntesis, el indicador es una cantidad de lo que se debe alcanzar para lograr un resultado esperado. El análisis de los resultados de cirugía ha utilizado tradicionalmente cifras relativas a proporciones, así, por ejemplo, una proporción medible es el número de pacientes que sufren complicaciones después de un procedimiento específico.

    Los indicadores en salud deben cumplir con ciertos requisitos fundamentales que son aplicables a cualquier proceso, servicio o negocio (Díaz Pacheco et al., 2007). Algunos de estos son: utilidad, entendido como servir a un interés o tener relación con un evento actual; factibilidad definido como la obtención de resultados con datos disponibles; costo-efectividad, que hace referencia al uso de forma racional de los recursos que permitan los mejores resultados; validez, que es la representación de la variable a medir; objetividad, definida como la obtención del resultado por observadores distintos; especificidad, como el requisito solo aplicable a un proceso o fenómeno; pertinencia, como la obtención oportuna y a tiempo del indicador a medir; y finalmente, simplicidad, que implica una lectura fácilmente entendible del indicador.

    Existe gran cantidad de indicadores que son potencialmente útiles para la toma de decisiones, los cuales varían de acuerdo con la naturaleza de la situación a analizar y el tipo de empresa. Los más conocidos tienen aplicabilidad en el sector financiero como lo son: utilidad bruta, utilidad operativa o [EBITDA, por sus siglas en ingles] (García Serna, 2003); asimismo, otros indicadores van más allá del crecimiento y el desarrollo, centrándose en la sustentabilidad (Escalante-Ferrer et al., 2020). Según Creixans-Tenas y Arimany-Serrat (2018), los mejores indicadores para determinar la posición financiera y económica de empresas pertenecientes al sector hospitalario son: rentabilidad, solvencia a corto plazo, capitalización y endeudamiento.

    Norton y Kaplan (2016) sugieren, a través de una herramienta de control de indicadores denominada Balanced Scoredcard (BSC), también conocida como cuadro de mando integral (CMI), una clasificación general de los mismos a través de cuatro perspectivas fundamentales: financiera, comercial, procesos internos, y aprendizaje y desarrollo. Esta herramienta ha permitido a las empresas de bienes y servicios gestionar y controlar sus estrategias organizacionales, instaurando metas en sus procesos y estructuras internas.

    Los pasos para establecer la gestión y el control a partir del BSC han sido descritos por Norton y Kaplan de siguiente manera (2016) son:

    1. Generación de objetivos.
    2. Identificación de la información y los procesos.
    3. Asignación de indicadores.
    4. Cálculo de metas y umbrales, donde se mide el rendimiento a través de una clasificación tipo semáforo, así: el rendimiento es verde si el cumplimiento es mayor a 80 %, el rendimiento es amarillo si el cumplimiento esta entre 80 % y 60 % y el rendimiento es rojo si el cumplimiento es inferior a 60 %.

    Este tipo de herramientas desempeñan un importante rol en la gestión de las organizaciones de salud y es apropiada como herramienta de control de gestión, cuyo objetivo principal, al estructurar las actividades o los indicadores importantes, no es el lucro sino entregar servicios de salud de calidad orientados a las personas (Gutiérrez Pulido y de la Vara Salazar, 2005). Es importante anotar que, en áreas de empresas de servicios de salud o procesos hospitalarios, el panorama en cuanto al uso de indicadores es dispar y heterogéneo, ya que los procesos de atención en salud se deben centrar en la atención al cliente. Esto indica que las necesidades de análisis e información no son las mismas para todos.

    En este caso, para los procesos de atención en salud, en especial los servicios quirúrgicos, se plantean mejoras a partir de conceptos generales encontrados en la literatura sobre algunos indicadores. Así, Robinson (2005), citando a Martínez Rodenas et al. (2014), presenta cuatro indicadores útiles en el servicio de cirugía: anulaciones de intervenciones quirúrgicas, reintervenciones quirúrgicas, ingresos hospitalarios no esperados y retraso en la salida de la unidad. Sin embargo, existen actualmente muchos debates en torno a cuáles indicadores deberían ser utilizados para reflejar la calidad en las cirugías (Aletti y Peiretti, 2017); adicional a esto, en la práctica se han encontrado dificultades para medir la calidad en la cirugía, teniendo en cuenta que variables como la mortalidad, morbilidad y el tiempo de espera en el hospital están alejados de lo que se consideraría perfecto al momento de evaluar la calidad (Beuran et al., 2015). Debido a esto, se han considerado como salidas de medición en cirugía indicadores como: muerte, incapacidad, insatisfacción, enfermedad y malestar. Otros indicadores considerados en la literatura han sido: el número de casos de instituciones, la morbilidad, las tasas de mortalidad, la calidad de vida y la satisfacción del paciente, etc. Jabalera et al. (2019) utilizan un abordaje denominado triple meta, considerando: la experiencia del paciente, la salud de la población y la eficiencia de las intervenciones. A través de estos abordajes se busca obtener mejores resultados en la atención. Finalmente, de la Fuente y Tapia Conyer (2003) presentan la propuesta de tres indicadores para medir aspectos esenciales y servicios de salud: tasa de mortalidad, esperanza de vida e indicadores de productividad. En general, los indicadores mencionados en servicios de cirugía han consistido en procesos que, por un lado, tienen un impacto importante, ayudando, por ejemplo, a pacientes a tomar decisiones en cuanto a sus preferencias con los servicios y con respecto a los pros y los contras de los tratamientos. Por otra parte, el impacto de los indicadores se refleja precisamente en evocar explícitamente dichas preferencias e incorporarlas en sus decisiones finales respecto al tratamiento. Reconocer la importancia y los impactos de los indicadores sobre los servicios de cirugía mejora significativamente la calidad del cuidado quirúrgico y las relaciones entre pacientes y especialistas cirujanos (de Mik et al., 2018).

    En el ámbito nacional, el Ministerio de Salud (2016b), a través del Observatorio Nacional de Calidad en Salud, monitorea los indicadores de los servicios de salud departamentales y municipales de los diferentes centros e instituciones de salud. En la Tabla 1 se observan 101 indicadores medidos, de los cuales el 51.4 % corresponden para las IPS. Estos indicadores están clasificados por cada actor del sistema de salud y por cada una de las cuatro categorías implementadas por el ministerio.

    Tabla 1. Total de indicadores de calidad medidos en Colombia
    Table 1. Totals of quality indicators measured in Colombia
    Dominio
    Actor
    Total indicadores medidos
    Efectividad
    IPS*
    24
    EAPB*
    8
    DTS*
    15
    Experiencia en la atención
    IPS
    15
    EAPB
    6
    Gestión del riesgo
    EAPB
    16
    DTS
    4
    Seguridad
    IPS
    13
    *IPS
    Institución Prestadora de Servicios de Salud
    (Ministerio de Salud, 2016a)
    *EAPB
    Entidades Administradoras de Planes de Beneficio
    (Ministerio de Salud, 2016a)
    *DTS
    Entidades Departamentales, Distritales y Municipales de Salud
    (Ministerio de Salud, 2016a)
    Fuente: elaboración propia a partir de Ministerio de Salud (2016b).

    En este caso específico, la institución de salud objeto del análisis considera dentro del servicio de cirugía general los siguientes indicadores: número de intervenciones quirúrgicas, porcentaje de utilización de los quirófanos, porcentaje de utilización de quirófanos para cirugías electivas y porcentaje de cancelación de cirugías.

    Los métodos para el análisis de procesos e información proporcional relativa tienen su aplicación inicial en el mejoramiento de procesos industriales y en sistemas de producción, Sin embargo, se ha reconocido su importancia en los procesos de análisis médicos (Amaral et al., 2011). El control estadístico y las cartas de control han podido demostrar que las deficiencias en el área de cirugía y la falta de control de procesos se deben a múltiples razones que no tienen que ver necesariamente con el desempeño del cirujano (Alban et al., 2019), esto se visualiza de manera gráfica a través de un análisis secuencial de los resultados obtenidos. Una carta de control es fácil de seguir para los administradores en salud, mediante los cambios dinámicos de las deficiencias encontradas en el proceso quirúrgico. Se puede visualizar el comportamiento de series de tiempo de inspecciones históricas y destacar patrones de comportamiento anormales, como valores atípicos, ciclos de tendencias y otros patrones no aleatorios. Por lo tanto, el análisis de indicadores mediante procesos de control estadístico resultan ser herramientas muy útiles para la gestión hospitalaria del negocio (Lane et al., 2007).

    Es por esto que para los centros e instituciones que brindan servicios de salud es muy importante considerar indicadores y su forma de control entorno a los servicios de cirugía y, por lo tanto, a los quirófanos, esto debido a que es en este lugar donde se centra el servicio prioritario del cliente o paciente (Keller et al., 2020), por lo cual, para poder realizar una adecuada gestión hospitalaria, es necesario conocer el número de pacientes que un servicio quirúrgico sería capaz de operar en un determinado tiempo (Córdoba et al., 2012). Además, los indicadores de calidad de la cirugía reflejan el número de procedimientos realizados en una unidad de tiempo, este es un indicador muy común utilizado en la calidad quirúrgica (Aletti y Peiretti, 2017). Ahora, el porcentaje de utilización de los quirófanos y el porcentaje de utilización de quirófanos para cirugías electivas se utilizan como la manera más común de medir el rendimiento y reflejan cómo se emplea el servicio permanentemente, mejorando la calidad y la satisfacción del paciente (Hartmann-Johnsen et al., 2019).

    Teniendo en cuenta este panorama, el objetivo de este estudio consiste en analizar los indicadores de gestión en el servicio de cirugía de una institución de salud de alta complejidad para proponer e implementar soluciones organizacionales y técnicas desde el control de procesos.

    2. METODOLOGÍA

    El estudio realizado se basó en la metodología indicada en la Figura 1, la cual consiste, inicialmente, en un estudio longitudinal, que describe los datos de cuatro indicadores desde el 2004 al 2019. Las actividades de esta investigación se describen de la siguiente manera: definir el problema a abordar, es decir, controlar y gestionar el proceso de indicadores del servicio de cirugía con base en la premisa: «lo que no se mide, no se gestiona y lo que no se gestiona no se puede mejorar»; posteriormente se describe el proceso del servicio para determinar las variables más importantes, presentando los cuatro indicadores que son objeto de estudio, esto implica contar con datos constantes en la medición de estos indicadores para asegurar un correcto análisis; luego, se deben analizar los resultados desde la perspectiva estadística y descriptiva, esto brindará resultados útiles en la propuesta de control del proceso o cuadro de mando; y finalmente, aplicando metodologías de mejora continua, verificar nuevamente los pasos del 1 al 7 para escalar aún más el proceso de mejoramiento.

    Figura 1. Metodología de trabajo
    Figure 1. Research methodology
    Fuente: elaboración propia.

    Por otro lado, la investigación se apoyó en referentes teóricos y conceptuales existentes en la literatura, utilizando una revisión sistemática de fuentes de información primarias que incluyen bases de datos indexadas como Scopus, ScienceDirect y Access Medicina, y utilizando diferentes combinaciones de palabras clave en la recuperación de los artículos como son: análisis cuantitativo, análisis estadístico, control estadístico, cirugía, auditoría en gestión, calidad, toma de decisiones y administración de indicadores. La investigación recuperó en total 50 artículos, documentos y libros de los cuales el 60 % se ubican entre los años 2015 y 2021 y 52 % del total están en idioma inglés.

    Entorno de estudio

    La institución de salud analizada es de alto nivel de complejidad, es decir, comprende medicina especializada, médicos generales, enfermeras y auxiliares de enfermería de manera permanente y se compone de servicios quirúrgicos, donde cuenta actualmente con dieciocho servicios de cirugía, sin embargo, los indicadores analizados son para uno de los dieciocho servicios, que es cirugía general, la cual es un área de la cirugía que incluye operaciones de aparato digestivo y abdominal, sistema endocrinológico, trasplantes y procedimientos de toda índole (García, 2017).

    Los servicios de cirugía y quirófanos incluyen una serie de actividades asistenciales y no asistenciales que se centran en los pacientes, y que buscan una solución integral del procedimiento indicado (Danet-Danet et al., 2017). Asimismo, por el alto coste en la disponibilidad y la utilización eficiente de los quirófanos, debe basarse en los siguientes hechos: comienzo y fin puntual de su operación, flexibilidad operacional, capacidad de reserva, tasa baja de cancelación de cirugías y alta utilización (Temes y Mengíbar, 2011).

    Análisis de datos estadísticos

    El análisis estadístico es de tipo descriptivo, analítico y retrospectivo de los datos, los cuales son de orden mensual, que incluyen información desde el mes de enero del año 2004 hasta el mes de diciembre del año 2019 para los cuatro indicadores más importantes del servicio de cirugía para una institución de salud de alta complejidad, estos indicadores son: número de intervenciones quirúrgicas, porcentaje de utilización de los quirófanos, porcentaje de utilización de quirófanos para cirugías electivas y porcentaje de cancelación de cirugías. La fuente primaria de recolección de los datos y su almacenamiento se encuentra en archivos de hoja de cálculo en Microsoft Excel versión 2016, la cual es administrada por el departamento de sistemas de la institución clínica. La descripción de cada indicador y su categoría se puede ver en la Tabla 2.

    Tabla 2. Descripción de los indicadores analizados
    Table 2. Description of the indicators under analysis
    Indicador
    Categoría perteneciente según Beuran et al. (2015)
    Explicación
    Número de intervenciones quirúrgicasMedidas de proceso: descripción de los datos en la entrega o prestación de los servicios de salud.Es el número o la cantidad de operaciones instrumentales, totales o parciales de lesiones causadas por enfermedades o accidentes, con fines diagnósticos, de tratamiento o de rehabilitación de secuelas.
    Porcentaje de utilización de los quirófanosMedidas de estructura: descripción de los datos entregados en la infraestructura.Es la relación entre el tiempo utilizado en el quirófano y el tiempo total disponible del quirófano.
    Porcentaje de utilización de quirófanos para cirugías electivasMedidas de estructura: descripción de los datos entregados en la infraestructura.Es la relación entre el tiempo utilizado para cirugías electivas, es decir, cirugías que no sean de emergencia y puedan ser planificadas y que pueda ser demorada por lo menos 24 horas, en el quirófano y el tiempo total disponible del quirófano para ese tipo de cirugías.
    Porcentaje de cancelación de cirugíasMedidas de proceso: descripción de los datos en la entrega o prestación de los servicios de saludEs la relación entre el número total de cirugías canceladas en el mes sobre el número de cirugías programadas para ese mes
    Fuente: elaboración propia a partir de Superintendenccia Nacional de Salud de Colombia (1996) y healthywa (s.f.)..

    Para cada indicador relacionado con el uso de los servicios hospitalarios, se realizaron las siguientes etapas: 1. Análisis estadístico exploratorio de los indicadores con medidas de tendencia central, posición y dispersión, tales como: media, desviación estándar, rango, valores máximos y mínimos y varianza, asimismo su coeficiente de variación. 2. Análisis y pruebas de normalidad de los indicadores, donde se utilizó el gráfico Q-Q y la prueba de Kolmogorov-Smirnov. 3. Gráficos de control de procesos para lecturas individuales mediante cartas de control.

    El análisis y el control estadístico del proceso de cirugía se realizó con el programa estadístico Statistical Package for the Social Science (por sus siglas SPSS), versión 19, de IBM. Se igual forma, los datos recogidos para los indicadores se extraen de bases de datos de la institución de salud, las cuales están agrupados en el software Microsoft Office Excel 2016, que además es el medio para la construcción de la propuesta de control de indicadores.

    Comúnmente, las cartas de control grafican las observaciones de un fenómeno y determinan su variabilidad. En este caso, los datos de los indicadores para el área de cirugía fueron monitoreados a través de cartas de control individuales y atributos, los cuales consisten en evaluar cada uno de los datos de manera mensual incluyendo tres límites de control calculados, que son el límite central (LC), el límite superior de control (LSC) y el límite inferior de control (LIC). Estos límites de control son establecidos hasta ±3 desviaciones estándar del LC, por lo tanto, los límites establecidos son los presentados en la Tabla 3, donde, las ecuaciones (1), (2) y (3) presentan la carta individual (Roy et al., 2020) y las ecuaciones (4), (5) y (6) presentan la carta de atributos (Selvamuthu y Das, 2018).

    Tabla 3. Ecuaciones de cartas
    Table 3. Equations of the control charts
    Fuente: elaboración propia.

    Donde,

    : promedio de los datos.

    : promedio de las medias móviles de orden 2 de los datos.

    `p ̅` : proporción promedio de datos.

    Para la definición de la capacidad del proceso de cirugía con base en los indicadores, se utiliza la siguiente métrica proporcionada en la ecuación (7) (Tian et al., 2020), de acuerdo a su resultado se pueden encontrar varias conclusiones sobre los indicadores (Sousa et al., 2017).

    `C p = LSC −LIC 6 σ`                (7)

    Donde,

    `σ` : Desviación de los datos, medida como `R ̅` /`1.128` .

    Si `Cp`< 1 el proceso debería ser rediseñado.

    Si `Cp` `cercano` `a` `1.33` el indicador debería ser controlado.

    Si `Cp > 1.6` el indicador no es crítico y el control estadístico no es aplicado.

    En la Tabla 4 se presenta la ficha técnica de la investigación, la cual recopila de manera concisa cada uno de los aspectos de mayor relevancia de este estudio.

    Tabla 4. Ficha técnica resumen de investigación
    Table 4.Summary table of the characteristics of this study
    Ámbito geográfico
    Regional Antioquia, Municipio Medellín
    Origen de datosClínica Universitaria Bolivariana Medellín
    Número de indicadores4
    Estructura del conjunto de datos582 datos
    Periodo de recogida de los datosEnero 2004 a diciembre 2019
    Tipo de muestreoCompleto no probabilístico
    Técnicas de análisisAnálisis y control estadísticos de procesos mediante cartas de control
    Software utilizadoMicrosoft Excel 2016 y SPSS versión 19
    Fuente: elaboración propia.
    3. RESULTADOS

    Etapa 1. Análisis estadístico exploratorio sobre los indicadores

    La Tabla 5 presenta el análisis estadístico exploratorio obtenido para los indicadores. En el primero de ellos, número de intervenciones quirúrgicas, se puede observar un promedio mensual aproximado de 417 intervenciones quirúrgicas; adicional a esto se encuentra una alta dispersión de los datos debido al valor del rango y a su desviación estándar; complementario a lo anterior, el coeficiente de variación indica que los datos se encuentran dispersos, ya que el resultado de esta medición estadística da como resultado 21.18 % de variación, superior al 20 % establecido como base (Uribe Gómez, 2021). De igual manera, se encuentra que, para el porcentaje de utilización de los quirófanos para cirugía general, en promedio, mensualmente, se utilizan un 60 % del tiempo. Al calcular el coeficiente de variación, el resultado de 13.35 %, lo que indica poca variabilidad en los datos de estudio. Para el tercer indicador de porcentaje de utilización de los quirófanos para cirugía electivas, en promedio mensual, como hallazgo principal se puede observar que se utiliza aproximadamente el 82 %, siendo su coeficiente de variación del 10.92 %, lo cual indica poca variabilidad en los datos de estudio. Esto significa que en términos generales existe una desviación de los datos en torno a la media mínima. Finalmente, el indicador de porcentaje de cancelación de cirugías contiene el coeficiente de variación más alto, lo que indica una alta dispersión en los datos, ya que este indicador supera el 20 % establecido para una variable (Uribe Gómez, 2021).

    Tabla 5. Análisis exploratorio para los indicadores
    Table 5. Exploratory analysis of the indicators
    Estadísticos
    Indicador
    Intervenciones quirúrgicas
    % utilización quirófanos
    % utilización quirófanos cirugías electivas
    % de cancelación de cirugías
    Número de datos
    156
    156
    144
    126
    Rango
    412
    0.458
    0.42
    0.1010
    Mínimo
    261
    0.408
    0.63
    0.008
    Máximo
    673
    0.866
    1.05
    0.109
    Suma
    65127
    94.43
    118.91
    580.4
    Media
    417.48
    0.605
    0.825
    0.0460
    Desviación estándar
    88.42
    0.081
    0.090
    0.0183
    Varianza
    7819.41
    0.007
    0.008
    0.000338
    Coeficiente de variación
    0.2118
    0.1335
    0.1092
    0.39
    Fuente: elaboración propia.

    La Figura 2 presenta los gráficos de cajas y bigotes (boxplots) para cada uno de los indicadores mencionados. Este tipo de gráficos permiten realizar un análisis sobre la distribución de los datos, también, un exploratorio descriptivo identificando de manera inmediata las medidas de tendencia central, los percentiles y los valores atípicos (outliers). Así, para el indicador de intervenciones quirúrgicas, el cual se encuentra ubicado al lado superior izquierdo del gráfico, presenta un punto considerado atípico dentro del conjunto de datos, este corresponde al valor más alto encontrado de intervenciones quirúrgicas en la posición 92, siendo este el valor de 673 intervenciones quirúrgicas mensuales. El indicador de porcentaje de utilización de quirófanos se ubica en el lado superior derecho y, al igual que con el indicador anterior, se revela la presencia de un punto atípico, ubicado en la posición 49, el cual indica un porcentaje de ocupación de quirófanos del 86.6 %, la máxima capacidad de ocupación alcanzada en la recogida de datos de 2004 hasta 2019. El porcentaje de utilización de quirófanos en cirugía electiva, que se encuentra al lado inferior izquierdo, revela, dentro del gráfico de caja y bigotes, la presencia de un valor máximo, donde se percibe una utilización de los quirófanos de 105 % en cirugías electivas; sin embargo, el gráfico no presenta este resultado como un valor atípico. Finalmente, para el porcentaje de cancelación de cirugías que se encuentra al lado inferior derecho, muestran algunos de valores extremos leves para el gráfico, con valores que rondan entre el 9 % y el 11 % de las cirugías planeadas.

    Figura 2. Gráfico de cajas y bigotes para los indicadores
    Figure 2. Boxplots of the indicators
    Fuente: elaboración propia.

    La Figura 3 presenta el gráfico del comportamiento de los datos tomados para cada uno de los indicadores del estudio, en general, los indicadores presentan tendencias aleatorias, sin ningún patrón aparente entre los datos. Además de eso, se observan descensos significativos en todos indicadores a partir del año 2011, lo que demuestra una subutilización de los quirófanos para cirugías y una alta volatilidad en los datos del porcentaje de cancelación de cirugías.

    Figura 3. Gráfico de comportamiento para los indicadores
    Figure 3. Line charts showing the behavior of the indicators
    Fuente: elaboración propia.

    Etapa 2. Pruebas de normalidad sobre los indicadores

    Los supuestos de normalidad de los datos de los indicadores pueden ser probados de diferentes maneras, esto incluye herramientas tan variadas como: los histogramas, la regla empírica, la distribución normal, prueba de bondad de ajuste por la ji-cuadrada, prueba de Shapiro-Wilk, prueba de Kolmogorov-Smirnov, grafica Q-Q y prueba Bowman-Shelton. En este caso para probar la normalidad de los indicadores de cirugía se utilizarán dos pruebas de las anteriormente mencionadas.

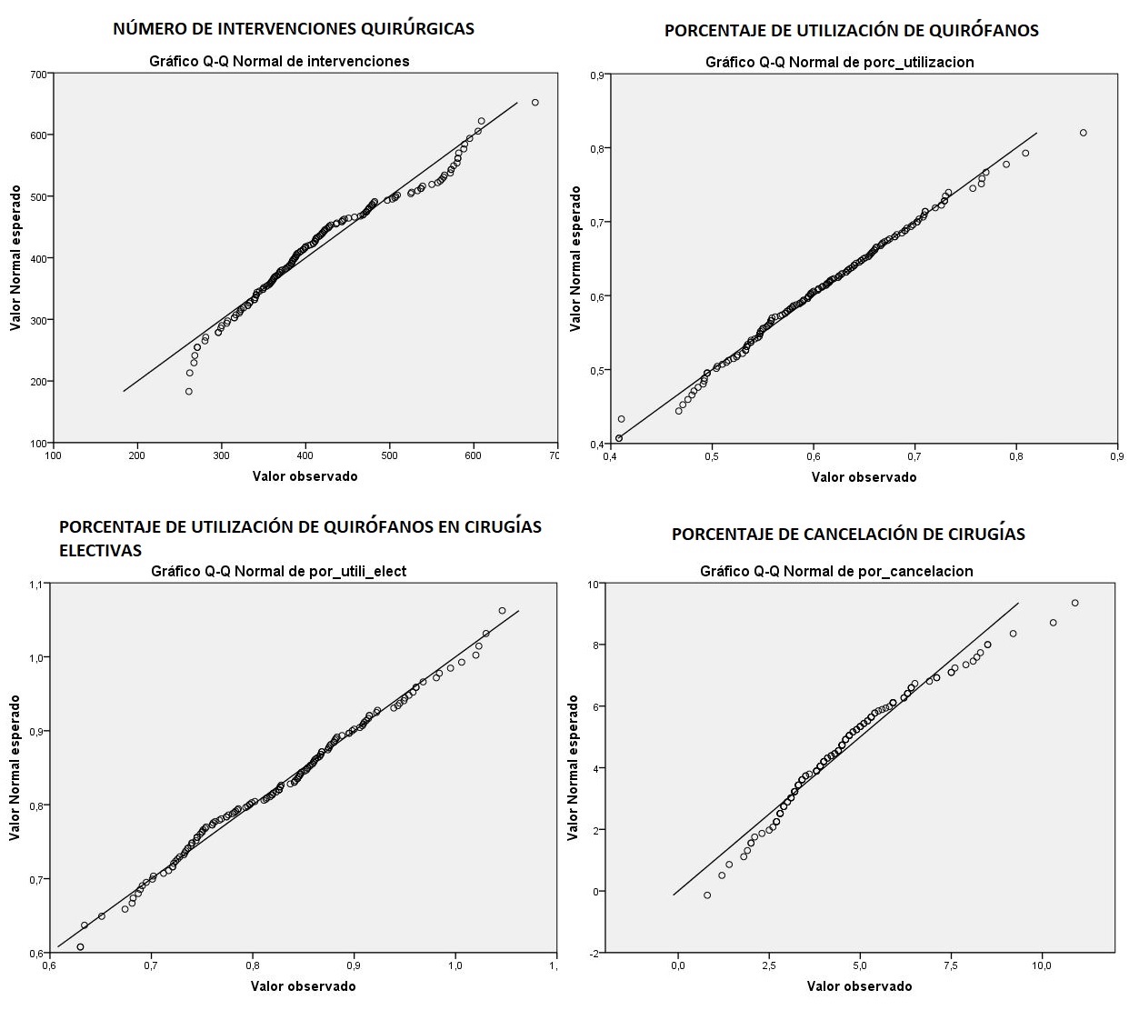
    Gráfica Q-Q

    Denominada grafica Q-Q porque necesita de los cuantiles para su cálculo, esta gráfica es utilizada para verificar si los datos siguen o no una distribución normal. Este tipo de gráfica marca una línea de 45 grados, la cual, si los datos se agrupan sobre ella, indicaría que es el estado ideal, donde los errores siguen una distribución normal. Cualquier variante tipo «bolsa» debajo de esta línea indica sesgos y, por lo tanto, que los errores no siguen una distribución normal.

    La Figura 4 presenta los gráficos Q-Q para los cuatro indicadores analizados. Esta gráfica presenta dos indicadores: porcentaje de utilización de quirófanos y utilización en cirugías electivas, los cuales sus errores siguen una distribución normal, los puntos se distribuyen sobre la recta de 45 grados indicando que los valores se encuentran ajustados a la distribución normal, esto garantiza que la información proviene de datos aleatorios distribuidos normalmente.

    Figura 4. Gráfico de normalidad para los indicadores
    Figure 4. Normal probability plots of the indicators
    Fuente: elaboración propia.

    La Figura 4 también muestra que los datos de dos indicadores: número de intervenciones y porcentaje de cancelación de cirugías, no siguen una distribución normal. En este caso se pueden observar algunas «bolsas» por encima o debajo de la línea de 45, lo cual indica sesgos y asimetrías en los datos.

    Prueba de Kolmogorov-Smirnov

    Esta es una prueba de normalidad que permite medir qué tan similares son la distribución normal y la variable de análisis. Este estadístico se utiliza para muestras grandes, volviendo más potentes y confiables sus resultados, esto sucede para tamaños de muestra mayores o iguales a 50 (Roy et al., 2020). Para probar analíticamente la normalidad de los indicadores se utiliza la prueba estadística de Kolmogorov-Smirnov, que parte de proponer una prueba de hipótesis en la cual se indique si los datos de los indicadores efectivamente siguen una distribución normal. Lo que se pretende probar es que grandes desviaciones en los datos tienen valores p pequeños, así, por regla general, se rechazaría la hipótesis de que la variable no sigue una distribución normal si el valor p es menor que 0.05.

    La prueba de hipótesis para los indicadores se construye tal como se muestra en las relaciones (8) y (9), de la forma:

                   (8)

                   (9)

    De acuerdo con la Tabla 6, los indicadores de intervenciones y cancelación de cirugías rechazaron la hipótesis nula, por lo tanto, hay evidencia estadísticamente significativa que indica que los datos de los indicadores mencionados no siguen una distribución normal. Los indicadores de porcentaje de utilización de quirófanos y porcentaje de quirófanos en cirugías electivas no rechazaron la hipótesis nula, lo que significa que estos indicadores siguen una distribución normal y cumplen dicho supuesto.

    Tabla 6. Pruebas de normalidad sobre los indicadores
    Table 6. Normality tests on the indicators
    Kolmogorov-Smirnov
    Estadístico
    Grados de libertad
    Valor P
    Intervenciones quirúrgicas
    0.1065
    156
    0.0002
    Porcentaje de utilización quirófanos
    0.0497
    156
    0.2000
    Porcentaje de utilización quirófanos en cirugías electivas
    0.0577
    144
    0.2000
    Porcentaje de cancelación de cirugías
    0.091
    126
    0.013
    Fuente: elaboración propia.

    Etapa 3. Aplicación del control estadístico de procesos sobre los indicadores de cirugía

    Escalante (2005) y Gutiérrez Pulido y de la Vara Salazar (2005) presentan la metodología teórica para proponer un control del proceso de cirugía para muestras individuales; asimismo, se utiliza la carta para atributos. Esta metodología consiste en encontrar tres límites principales, tal y como se presentó con anterioridad: límite superior de control (LSC), límite central (LC) y límite inferior de control (LIC) sobre el conjunto de datos. Estos límites establecen las bases sobre las cuales las muestras que se tomen deben adecuarse a estas franjas fijadas por los límites creados, para entrar en dos posibles categorías: procesos fuera de control estadístico o procesos en control estadístico. Este método de control es útil para investigar y establecer las causas que originan la variabilidad de los procesos productivos o en servicios. Por otro lado, los indicadores asistenciales deben tener métricas y límites claros, que indiquen el correcto desempeño de los datos para medir objetivos e iniciativas estratégicas (de la Garza García et al., 2013).

    En este sentido, se desarrolla el control estadístico de proceso como fuente de control para los indicadores de cirugía. Con base en lo anterior, la Figura 5 presenta que para todos los indicadores se muestran puntos por fuera de los límites de control superior e inferior, así, el número de intervenciones quirúrgicas contiene un 19.23 % de sus puntos fuera de control, el porcentaje de utilización de los quirófanos contiene un 6.41 % de sus puntos por fuera de los límites, el porcentaje de utilización de quirófanos para cirugías electivas tiene un 5.55 % de puntos por fuera, y finalmente, el porcentaje de cancelación de cirugías con un 1.28 % de sus puntos por fuera del total. Los gráficos de control presentados muestran la distribución de puntos por fuera de los límites de control superior e inferior, significando esto que los procesos medidos se encuentran fuera de control estadístico (Mundwiller, 2017), lo que sugiere un replanteamiento de la estructura de procesos y planeación asistencial del servicio.

    Figura 5. Carta de control de proceso para los indicadores de quirófano
    Figure 5. Process control charts of the operating room indicators
    Fuente: elaboración propia.

    A continuación, se calcula el índice de capacidad de dispersión del proceso, el cual es el indicador de cumplimiento de las especificaciones. Esto se desarrolla para cada uno de los indicadores. Los resultados presentados en la Tabla 7 confirman que el proceso de cirugía, medido a través de los cuatro indicadores principales, requiere un control estricto y modificaciones sustanciales para alcanzar procedimientos óptimos.

    Tabla 7. Índices de capacidad para indicadores de cirugía
    Table 7. Capacity indices calculated for the operating room indicators
    Indicador
    LSC
    LIC
    Índice de capacidad del proceso
    Categoría y decisión
    Número de intervenciones quirúrgicas538.7296.260.99983: el proceso no es adecuado, se requiere un análisis del proceso y modificaciones serías para alcanzar una calidad óptima.
    Porcentaje de utilización de los quirófanos0.753820.456881.0152: proceso parcialmente adecuado. Se requiere un control estricto del mismo.
    Porcentaje de utilización de quirófanos para cirugías electivas10.64670.9863: el proceso no es adecuado, se requiere un análisis del proceso y modificaciones serías para alcanzar una calidad óptima.
    Porcentaje de cancelación de cirugías0.09180.000212: proceso parcialmente adecuado. Se requiere un control estricto del mismo.
    Fuente: elaboración propia.

    Etapa 4. Estructura de control y seguimiento de indicadores

    Con base en los datos e información estadística obtenida de los indicadores medidos, se estructura y construye una propuesta de marco de control para los cuatro indicadores pertenecientes al área de cirugía, a través de la siguiente pregunta: ¿Cuál es el instrumento idóneo para comparar y realizar las mediciones de los indicadores? Dando respuesta a este interrogante, se desarrolla una propuesta de control con base en el Balanced Scoredcard (BSC), que permitirá comprender las oportunidades que brinda la herramienta para la gestión organizacional (de la Garza García et al., 2013), en este caso específico, en el ámbito asistencial de un centro de salud.

    La Figura 6 presenta una propuesta de control para el área de cirugía general utilizando la información obtenida para cada indicador, luego de hacer el análisis estadístico pertinente y con base en el recálculo de los límites de control de cada uno de los indicadores, que se realizó partiendo de la omisión de los puntos en cada uno de los gráficos, que generan que los indicadores estén por fuera del control estadístico. En esta propuesta se puede observar que cada indicador posee una unidad de medida y tres límites de control o metas recalculadas. Para el periodo de estudio de ejemplo, se obtuvo su resultado y aplicando funciones de alcance de metas se calcula su cumplimiento, el cual se marca con la clasificación: verde, amarillo y rojo. Esta indicación permite analizar hasta qué punto se ha cumplido la meta. Por otro lado, se incluye una interpretación que busca alertar cuando el resultado está en control o fuera de control con base en los límites establecidos. Finalmente, el cuadro de mando compara la variación entre periodos para indicar si este incremento ha sido positivo o negativo, comparando así dos periodos de los años 2019 y 2020.

    Figura 6. Propuesta de control de indicadores
    Figure 6. Proposed indicator control
    Fuente: elaboración propia.
    Instrumentos de evaluación más completos han sido establecidos por Leyton-Pavez et al. (2015) donde se dispuso un CMI con 48 indicadores de procesos estratégicos hospitalarios con los siguientes focos estratégicos: sustentabilidad financiera, eficiencia operacional, gestión clínica y excelencia de la atención. La robustez del CMI cobra sentido cuando los actores involucrados en cada unidad estratégica proponen y ejecutan iniciativas de mejora para el logro de sus objetivos.
    4. DISCUSIÓN

    El uso de indicadores para la gestión de la operación en servicios de cirugía desde la administración en salud ha permitido presentar la relevancia de su uso desde lo cuantitativo y lo cualitativo. Los indicadores han sido validados haciendo uso de métodos estadísticos y soportes conceptuales. Asimismo, el uso de datos recopilados de un servicio de cirugía, para su análisis y posterior representación de los resultados en una herramienta administrativa propuesta construida a partir del BSC, presenta la idea como una contribución a la estrategia organizacional de la clínica y su servicio de cirugía, a partir de la medición y el seguimiento de los resultados. Dando así cumplimiento al objetivo principal de este estudio, el cual consistía en primera instancia en analizar los indicadores de gestión del servicio de cirugía en una institución de salud de alta complejidad y proponer una solución organizacional al proceso asistencial.

    Existen implicaciones para los servicios clínicos desde este estudio, enfatizando: primero, la importancia de los cambios guiados por los datos; segundo, al presentar una herramienta como la de control estadístico de procesos, se pueden tomar decisiones frente al control y planificación del servicio, y así, buscar nuevas formas de mejorar los indicadores; en tercer lugar, las cartas de control son un medio informativo, visual y una representación más intuitiva sobre el proceso, lo cual ayuda a administradores en salud a tomar mejores decisiones. Finalmente, todo esto se traducirá en un impacto sobre el cliente y la calidad en el servicio de cirugía.

    Respecto a otros estudios similares, Aletti y Peiretti (2017) han considerado el seguimiento de indicadores como métricas importantes de calidad en los servicios de cirugía, esto complementado con estudios de Keller et al. (2020), donde identificaron acercamientos similares al indicador de tiempo de estancia en cirugía colorrectal, al igual que Garcia y Fugulin (2012) con el indicador del tiempo de cuidado en enfermería. Ambos acercamientos consideraron el uso de estadística descriptiva para conocer el comportamiento de sus indicadores y la identificación de puntos atípicos, metodología similar seguida para esta investigación, cuya diferencia radica en el análisis de indicadores administrativos del servicio de cirugía.

    El análisis realizado muestra que sobre los indicadores de cirugía sugiere mejorar el estándar de las intervenciones quirúrgicas, debido, principalmente, a un coeficiente de variación de 21.18 %. Se espera especialmente que este coeficiente no supere el 20 % (Paixão et al., 2020, Bindu et al., 2020). Por otro lado, al analizar las intervenciones quirúrgicas se obtuvo que el conjunto de datos no sigue una distribución normal, lo que puede significar algunos puntos atípicos dentro del rango de datos de intervenciones. Esto incluiría identificar la naturaleza de dichos puntos y utilizar pruebas no paramétricas para validar nuevamente el supuesto de normalidad de los datos de este indicador. A esto se le pueden añadir problemas en la calidad de la fuente de datos, por lo tanto, la calidad de la información entregada es extensa, pero no uniformemente buena para el análisis de este indicador.

    Las limitaciones de este artículo se encuentran enmarcadas en el hecho de que se tiene información de una sola unidad en una sola institución, dificultando la reproducción del estudio en diferentes contextos que contribuyan a la validación y a la comparación frente a otros servicios. Por esta razón, los datos y la metodología no pudieron ser confrontados con otros servicios similares. Finalmente, los indicadores analizados se limitan a los estudiados en el servicio de cirugía, sin embargo, no se circunscriben en indicadores amplios o regidos por normatividades internacionales o medidos y utilizados en cada país (Quintero-Beltrán y Osorio-Morales, 2018).

    Por último, es importante resaltar que los indicadores analizados sugieren una lectura especial dentro de su contexto hospitalario, en consecuencia, el control debe ser interpretado desde diversas perspectivas, de tal modo que encontrar puntos fuera del límite de control superior no es necesariamente malo, ya que esto indica una utilización o cantidad de intervenciones óptima del servicio, lo que conlleva, asimismo, a plantear estrategias que impulsen estos factores de crecimiento en el número de intervenciones quirúrgicas o utilización de los quirófanos. Por otro lado, puntos por debajo de su línea de control implicaría subutilización del servicio, aunque para el indicador de cancelaciones, el valor óptimo sería idealmente cero.

    5. CONCLUSIONES

    De manera general, en este artículo de investigación se han estudiado algunos indicadores de un servicio de cirugía que han resultado de fácil manejo y acceso a través de la institución de salud objetivo, esto ha permitido establecer una metodología de análisis y una herramienta viable de aplicación, no solamente a instituciones hospitalarias que hagan uso de estos indicadores en sus procesos, sino también a otros procesos e indicadores en múltiples organizaciones. El artículo se presenta como una contribución a la mejora analítica de la calidad mediante la aplicación de técnicas estadísticas y estrategias de calidad, que permitan aumentar la sostenibilidad, eficiencia, eficacia y satisfacción de los sistemas de salud o de cualquier tipo. Por otro lado, los gráficos de control facilitan la identificación de patrones, tendencias y puntos de mejora en los procesos, lo cual enriquecería las estrategias de mejora en la gestión del centro de salud a través del uso de datos, y a su vez, se estandarizan resultados para lograr un contexto de calidad.

    Es importante aclarar que los indicadores en salud presentan múltiples dificultades técnicas en su propuesta, ya que están asociados a fenómenos complejos en las instituciones de salud, en los cuales intervienen factores como pacientes, sus procesos de evolución y reacción posteriores; cabe anotar, además, que los profesionales médicos no tienen formación como estadísticos o informáticos, por lo que delegarles a ellos la construcción de indicadores puede ser una labor compleja y exhaustiva; no obstante, el análisis desde el resultado hasta la interpretación puede ser una tarea que se torna sencilla, simple y estratégica.

    Igualmente, en la literatura consultada sobre el tema se encontraron diversos análisis aplicados a indicadores en servicios de cirugía, como también en otras áreas de salud como control de radioterapia, complicaciones en posparto como hemorragias, tiempos de estancia, cirugía infantil, entre muchos otros, donde se identificó un amplio uso en la aplicación del análisis y el control estadístico de procesos, así como su apoyo a los cuadros de mando y a la administración en salud, lo cual, en este sentido, brinda una puerta de entrada a nuevas propuestas de valor para el control de unidades clínicas y de salud desde la gestión administrativa y de los procesos.

    Se considera que el estudio estadístico de los datos recopilados en un sistema o proceso debe permitir analizar cómo se utilizan los quirófanos y el servicio de cirugía, de este modo, descubrir falencias y oportunidades de mejora, introducir nuevos avances y ver su eficacia estudiando la evolución en el tiempo a través de series estadísticas y controles de proceso.

    Las instituciones de salud deben prepararse para los cambios surgidos a partir de la constante innovación tecnológica, por lo que se hace indispensable pensar en utilizar de manera más eficiente la información generada en los procesos, empleando nuevos enfoques organizacionales, como la administración total de la calidad, que permitan una adecuada toma de decisiones y mantener su competitividad en el mercado.

    De forma específica, a la luz del objetivo de investigación generado, se debe mejorar el control sobre dos indicadores específicos, que son: las intervenciones quirúrgicas y el porcentaje de cancelación de cirugías, que como se vio en el aparte de resultados, dichas variables contienen una alta variabilidad en sus datos, lo cual impacta significativamente a la planeación del servicio de cirugía. En este orden de ideas, considerar estrategias de planeación y predictibilidad, que sean sistémicas sobre dichos indicadores, servirá para el mejoramiento del servicio. Además, el análisis de los indicadores de porcentaje de utilización de quirófanos indica una subutilización de los espacios, con un uso en promedio del 60 %. En cuanto al porcentaje de cirugías electivas, este refleja un uso justo de los quirófanos, estos indicadores pueden ser útiles para plantear estrategias que lleven a pensar en usos adicionales del servicio de cirugía para colmar su capacidad.

    Finalmente, el logro de este trabajo de investigación se centra en contribuir y entender la importancia y el impacto de los indicadores de gestión en operación asistencial de una institución de salud de alta complejidad, que soporten las decisiones administrativas y operativas para directivos en salud.

    AGRADECIMIENTOS

    Un agradecimiento a la Clínica Universitaria Bolivariana de la ciudad de Medellín por permitir la realización de este trabajo investigativo.

    CONFLICTOS DE INTERÉS

    Los autores declaran que no presentan conflictos de interés financiero, profesional o personal que pueda influir de forma inapropiada en los resultados obtenidos o las interpretaciones propuestas.

    CONTRIBUCIÓN DE AUTORES

    Para el desarrollo de este proyecto todos los autores han realizado una contribución significativa especificada a continuación:

    Julián Alberto Uribe-Gómez: conceptualización, metodología, software, validación, análisis formal, investigación, curación de datos, preparación del borrador original, revisión y edición, visualización, administración del proyecto.

    Juan Guillermo Barrientos-Gómez: conceptualización, validación, investigación, supervisión, administración del proyecto.

    NOTAS AL PIE

    • arrow_upward Este artículo se deriva del proyecto de investigación «Análisis de indicadores de gestión del servicio de cirugía en una institución de salud de alta complejidad» y ha sido financiado con recursos propios.
    REFERENCIAS