Propuesta de herramienta integrada para diagnosticar impactos ambientales y su afectación a la salud humana en dos empresas del Valle del Cauca (Colombia)*

Proposal of an Integrated Tool for Identifying Environmental Impacts and their Effect on Human Health in Two Companies in Valle del Cauca (Colombia)

DOI 10.22430/24223182.2492 Tablas Figuras

Recibido: 11 de agosto de 2022
Aceptado: 17 de mayo de 2023

Cómo referenciar / How to cite
Rivera Díaz, M. del P., Candelo Viafara, J. M., y Bonilla Betancourt, L. F. (2023). Propuesta de herramienta integrada para diagnosticar impactos ambientales y su afectación a la salud humana en dos empresas del Valle del Cauca (Colombia). Revista CEA, 9(19), e2492. https://doi.org/10.22430/24223182.2492

 

 

Resumen

Esta investigación tuvo como objetivo proponer una herramienta de matriz integrada, ambiental-laboral, que permite diagnosticar los impactos ambientales que se originan en las actividades industriales, incorporada esta, a la evaluación de riesgos laborales, y aplicable a las pequeñas y medianas empresas (pymes) que se dedican a la fabricación de alimentos balanceados para animales. Se utilizó una metodología mixta con recolección y análisis de datos cualitativos y cuantitativos, realizando entrevistas y encuestas a treinta y tres trabajadores que llevan más de cinco años laborando en las pymes. Se identificaron contaminantes en el lugar de trabajo y se evaluaron los impactos ambientales y los riesgos laborales mediante mediciones higiénico-sanitarias basadas en normativas locales y valores límites permisibles establecidos por la Conferencia Americana de Higienistas Industriales Gubernamentales (ACGIH, por sus siglas en inglés); además, se priorizaron y verificaron las incidencias generadas por las actividades críticas para determinar la aceptabilidad del riesgo. Se concluye que la matriz propuesta, al abarcar e integrar diferentes elementos ambientales-laborales, permite obtener un análisis integrado del estado actual de las pymes dedicadas a la fabricación de alimento balanceados. A partir de dicho análisis, se podrán establecer acciones que reduzcan la contaminación ambiental y, asimismo, mejorar la salud de los trabajadores de manera integrada.

Palabras clave: impacto ambiental, riesgo laboral, matriz integrada, contaminación ambiental, análisis del riesgo.
Clasificación JEL: J81, Q53.


Highlights

  • El impacto ambiental laboral afecta la salud de los trabajadores.
  • Las herramientas de autodiagnóstico evalúan y controlan riesgos ambientales-laborales de manera integrada.
  • Las empresas identifican, miden, evalúan y actúan ante riesgos prioritarios.
  • Abstract

    This study introduces an integrated matrix tool for identifying the environmental impacts of industrial activities and evaluating the associated occupational risks, specifically in Small and Medium-sized Enterprises (SMEs) engaged in feed manufacturing. A mixed methodology incorporating qualitative and quantitative data collection and analysis methods was employed, involving interviews and questionnaires administered to 33 workers who had been employed in this type of SMEs for more than five years. Initially, all workplace pollutants were identified. Then, the environmental impacts and associated occupational risks were evaluated using hygienic and sanitary measurements based on local regulations and the permissible limit values established by the American Conference of Governmental Industrial Hygienists (ACIGH). Additionally, the effects generated by the most critical activities were prioritized and verified to determine risk acceptability. The findings demonstrate that, by encompassing and integrating different environmental and occupational elements, the proposed tool allows for an integrated analysis of the current state of SMEs engaged in feed manufacturing. Based on this analysis, strategies can be developed to reduce environmental pollution and improve workers’ health in an integrated manner.

    Keywords: Environmental impact, occupational risk, integrated matrix, environmental pollution, risk analysis.
    JEL classification: J81, Q53.


    Highlights

  • Different environmental and occupational aspects affect workers’ health..
  • Self-diagnostic tools assess and control environmental and occupational risks in an integrated manner.
  • Companies identify, measure, evaluate, and respond to priority risks.
  • 1. INTRODUCCIÓN

    Las pequeñas y medianas empresas (pymes) desempeñan un papel de importancia en las economías contemporáneas (Tello Cabello, 2014). En el contexto colombiano, las micro, pequeñas y medianas empresas (mipymes) tienen un papel significativo en el desarrollo y crecimiento de la economía nacional, según los indicadores oficiales del Departamento Administrativo de Estadísticas (DANE, 2021), se estima que las mipymes representan aproximadamente el 90% del sector productivo del país y generan alrededor del 78% de los empleos a nivel nacional, además, el 89% de estas empresas se dedican a la fabricación y aprovechamiento de los recursos naturales, (Valbuena, 2021).

    Este modelo de crecimiento económico expansivo, que consume grandes cantidades de recursos naturales sin considerar adecuadamente sus costos ambientales, está generando un desequilibrio ecológico en nuestro planeta, la actividad industrial y humana ha sido un factor determinante en este cambio (Martín-Álvarez et al., 2022).

    En ese sentido, la actividad industrial tiene un efecto incremental en los impactos ambientales, debido a que los procesos de producción necesarios para la obtención de bienes han incrementado el número de enfermedades laborales en el mundo, y Colombia no es la excepción; en el informe del Observatorio de la Seguridad y Salud en el año 2021, indica que en el país se presentaron 42.646 enfermedades laborales calificadas, con una tasa de 394,9 enfermedades laborales por cada 100.000 trabajadores (Consejo Colombiano de Seguridad, 2021); por lo tanto, hay una amenaza a la salud y un aumento de las enfermedades laborales proveniente de las deficiencias en las condiciones del trabajo, centrándose, específicamente, en la exposición a los factores de riesgos físicos, químicos y biológicos (Rodríguez-Fernández et al., 2019).

    Por consiguiente, la empresa requiere conocer el impacto ambiental y los riesgos a los que está expuesta con el fin de determinar las consecuencias que pueden acarrear dentro de la organización, minimizar su potencial cuando son negativos y disminuir sus posibles afectaciones (De Paz et al., 2011). Lo anterior, hace necesario conocer las metodologías y herramientas que le permitan a las empresas de diferentes tamaños (grandes conglomerados y mipymes) clasificar y detectar el impacto ambiental y sus riesgos (Crovini et al., 2021).

    Las organizaciones deberían considerar hacer cambios en sus procesos para reducir el impacto ambiental y la afectación en la salud de los trabajadores, y llevar a cabo investigaciones continúas utilizando herramientas metodológicas para recopilar y analizar datos cuantitativos con el fin de identificar y evaluar los riesgos en cada área de trabajo.

    La implementación de herramientas de diagnóstico ambiental, basada en la evaluación de riesgos laborales, ha evolucionado hacia un procedimiento integrado que permite evaluar de manera efectiva el estado actual de las pymes. Esta evolución ha sido destacada por autores como Ferreira de Araújo Lima et al. (2020), quienes señalan que la implementación de esta herramienta integrada resulta altamente beneficiosa, ya que optimiza los recursos, facilita la toma de decisiones y promueve la generación de productos ecoseguros. Además, contribuye a desarrollar un entorno transparente, estable y sólido, lo que permite que el trabajador se sienta seguro dentro de la organización

    De acuerdo con lo expuesto por Almeida et al. (2012), los sistemas de gestión que se centran en procesos de medio ambiente, salud y seguridad ocupacional son ampliamente utilizados en las organizaciones. Sin embargo, en ocasiones, estas herramientas se implementan de manera aislada y sin una comunicación adecuada entre ellas, lo que puede generar redundancias o lagunas en el análisis. Sharma y Mishra (2021) y Kruse et al. (2019) argumentan que la integración de los requisitos de estos estándares en un sistema de gestión holístico puede resultar en una gestión más efectiva y eficiente. Esto, su vez, se traduce en una mejora en la calidad de los productos y servicios, una reducción en los costos y riesgos, y un aumento en la satisfacción de los clientes y empleados. Por lo tanto, se recomienda la implementación de un enfoque holístico para la gestión de los sistemas mencionados, lo que podría resultar en beneficios significativos para las organizaciones.

    En el contexto empresarial es de suma importancia tener una comprensión clara de los riesgos a los que una organización está expuesta. Esta comprensión permite evaluar tanto las consecuencias positivas como negativas que pueden tener un impacto en la empresa, y minimizar así su impacto. Según Nunhes et al. (2016), la recolección y el análisis de datos cuantitativos utilizando instrumentos de metrología permite a las organizaciones identificar y evaluar los factores de riesgo en cada área de trabajo.

    Esto, a su vez, puede ayudar a prevenir enfermedades y lesiones laborales, reducir las posibles pérdidas en la empresa, y tomar medidas preventivas y correctivas que garanticen un ambiente laboral seguro y saludable para los empleados. Por lo tanto, se recomienda que las empresas realicen una evaluación sistemática de los riesgos laborales y tomen medidas proactivas para prevenir cualquier impacto negativo en la organización y sus empleados.

    Este estudio se enfoca en el sector agroindustrial dedicado a la producción de alimentos para animales, considerando que el crecimiento de la población es un factor relevante que contribuye al aumento de la contaminación ambiental. En el contexto colombiano, este crecimiento ha impulsado el consumo de alimentos provenientes de la industria agroindustrial, según la Organización de las Naciones Unidas para la Alimentación y la Agricultura (2020), se registró una cantidad significativa de alimentos perdidos y desperdiciados en los sectores agroindustriales, lo cual plantea preocupación debido a los posibles impactos negativos en el medio ambiente y la biodiversidad. Además, según Invest Pacific (2019), estos sectores tienen un impacto significativo en el uso de la superficie terrestre, el consumo de agua, las emisiones de gases de efecto invernadero y la deforestación a nivel mundial. Por otro lado, es importante resaltar que el Valle del Cauca, a pesar de ser una región geográficamente pequeña, desempeña un papel fundamental en la producción agroindustrial de Colombia gracias a su ubicación estratégica, estos aspectos destacan la importancia de analizar y abordar los desafíos ambientales y su impacto a la salud de los trabajadores asociados al sector agroindustrial en el contexto colombiano.

    Dentro de la literatura especializada existen diversas herramientas, tanto cuantitativas como cualitativas, que pueden ser empleadas para el propósito de reducir el impacto al medio ambiente y prevenir riesgos a la salud humana en los procesos productivos. Entre estas herramientas se destaca la Matriz de Riesgos (MR), la cual es reconocida por su simplicidad y rapidez en la generación de resultados. Según Haddad et al. (2012), se sugiere el uso de esta matriz, ya que es considerada altamente efectiva en la identificación y evaluación de riesgos presentes en cada una de las actividades de los procesos productivos, permitiendo resaltar los peligros críticos y controlar las áreas que puedan generar consecuencias negativas para los trabajadores y el medio ambiente laboral.

    Por consiguiente, la investigación tiene como objetivo integrar las metodologías de análisis ambiental y de riesgos laborales para proponer una herramienta matricial que permita relacionarlas de manera concreta, ya que, según autores como Vieira Nunhes et al. (2017) y Tepaskoualos y Chountalas (2017), existe la posibilidad de integrar los sistemas de gestión de calidad ISO 9001, de Gestión Ambiental ISO 14001 y de Salud y Seguridad Ocupacional OHSAS 18001, considerando su complementariedad y compartiendo aspectos similares, tales como los sistemas de control de procesos, los recursos humanos, la gestión de la información y los documentos, el diseño, la producción y la distribución de productos y servicios para satisfacer las necesidades de los clientes. La integración de estos sistemas de gestión puede proporcionar información valiosa para la toma de decisiones gerenciales.

    Por último, este articulo ese divide en cinco secciones, las cuales son: introducción, marco referencial, metodología, resultados, discusión y conclusiones.

    2. MARCO TEÓRICO O REFERENCIAL

    Los sistemas integrados de gestión ISO 14000 e ISO 18001

    De acuerdo con lo planteado por Whitelaw (2004) y Kožená y Jelínková (2016), diferentes empresas han empezado a implementar sistemas de gestión, puesto que son herramientas que las organizaciones utilizan para administrar y mejorar su desempeño en diferentes áreas, como Calidad, Medio Ambiente y Salud y Seguridad Ocupacional (Samy et al., 2015), y están formados por procesos y procedimientos que ayudan a la organización a cumplir con sus objetivos y a satisfacer las necesidades de sus clientes y partes interesadas (Pedraza Melo, 2018; Anjard, 1996). Así, se ha evidenciado que existe una necesidad clara por parte de las empresas de generar sistemas de gestión integrados (Labodová, 2004); ahora bien, según lo indicado por Cuadros Domínguez y Téllez Gaytán (2019), un sistema de gestión integrado se refiere a un sistema integral que tiene como objetivo manejar de forma conjunta múltiples aspectos de las operaciones de una organización, cumpliendo con diversas normas y regulaciones relacionadas con la calidad de los productos o servicios, la gestión del medio ambiente y la salud y seguridad laboral para generar una compatibilidad con los elementos que abarcan los diferentes sistemas de gestión integrados y que debe ser visto como una cultura de aprendizaje continuo; de esta manera, países como Dinamarca y España han empezado a generar estándares para los sistemas de gestión integrados (Jørgensen et al., 2006).

    Según Zeng et al. (2007), Kang et al. (2016) y Pauliková et al. (2022), hay que considerar que la implementación de sistemas de calidad, medio ambiente y salud y seguridad para el trabajo es un requisito para la supervivencia organizacional, pero, a su vez, su implementación es un reto para la gerencia, puesto que es difícil articularlos con la planeación de la organización. Salomone (2008) identifica el potencial de la integración de los diferentes sistemas, encontrando aspectos comunes como la mejora de la imagen de la empresa y el ahorro de costos, pero también hay una serie de obstáculos, como la poca claridad de las regulaciones y la falta de apoyo económico; por otro lado, también plantean que existen presiones externas a la hora de que las empresas empiezan a implementar sistemas, como la ISO 9001: 2000, ISO 14001: 2004, OHSAS 18001: 1999 y SA 8000: 2007.

    Por su parte, autores como Jørgensen (2008) han planteado que sistemas como el ISO 9001, ISO 14001 y OHSAS 18001 han empezado a ser más compatibles, y muchas empresas han empezado a trabajar en ello, de esta manera la gestión direccionada al producto ha generado la necesidad de un sistema integrado de gestión. De acuerdo con lo anterior, Celik (2009) restructura diferentes empresas navieras, permitiendo así generar un sistema de gestión integrado que tuvo como foco la calidad, el medio ambiente y la seguridad ocupacional basándose en las cláusulas del Código de Gestión de Seguridad Internacional (ISM) mediante el uso de diseño axiomático difuso (FAD).

    Olaru et al., (2014) plantea que hay unos elementos de suprema importancia a la hora de querer diseñar y ejecutar un sistema de gestión integrado que abarque la calidad, el medio ambiente y la salud y seguridad en el trabajo. Estos elementos son la mejora continua que permita prevenir los problemas e identifica al ser humano como el factor central en estos procesos, además que se debe satisfacer las necesidades de los clientes y de los diferentes grupos interesados (Tiengtrong et al., 2023). De la misma manera, Palacios Guillem (2021) plantea que un sistema de gestión integrado ISO 14001 y OHSAS 18001 debe permitir la estandarización, integración y la racionalización.

    En este ámbito hay que resaltar que la integración de las normas de calidad, ambiental y de salud y seguridad en el trabajo son posibles, puesto que los tres enfoques recaen en el ciclo PHVA teniendo una clara orientación a los procesos (Zutshi y Sohal, 2003; Roncea, 2016; Jaroenroy y Chompunth, 2019). Cabe aclarar que estos procesos se desarrollan para satisfacer a los grupos de interés como clientes, usuarios finales, propietarios, accionistas de la organización, empleados, personal, proveedores, subcontratistas, socios y aliados, sociedad humana en su conjunto, comunidad local y público (McDonald et al., 2003).

    En este sentido, se determina que existen diferencias básicas entre los distintos sistemas de gestión, inicialmente para el sistema de calidad, donde, por un lado, el producto es el fin que viene dado por un proceso de producción, y, por el otro, para el sistema de gestión ambiental y de seguridad y salud ocupacional, el producto es cómo se desempeña la organización. Partiendo de lo anterior, se puede decir que, para lograr integrar los tres sistemas, se deberá desarrollar un sistema logístico que permita ejecutar decisiones técnicas y operativas permitiendo la eficiencia organizacional (Militaru, 2005). Por último, vale aclarar que autores como Rivera Díaz et al. (2022) plantean que no hay una metodología clara de integración para los sistemas de gestión, pero estos deben verse de manera integrada para prevenir efectos en el ambiente y la salud laboral.

    3. METODOLOGÍA

    La metodología utilizada en este estudio es de tipo mixta, que combina la recolección y análisis de datos cualitativos y cuantitativos para examinar la gestión ambiental y de riesgos laborales en dos pymes en un municipio del centro del Valle del Cauca, Colombia. Las empresas analizadas presentaron procesos industriales similares en la producción de alimentos balanceados para consumo animal en el sector geográfico del estudio.

    En la Figura 1, se detalla el estudio que se llevó a cabo en tres etapas principales. En la primera, informe de condiciones iniciales, se identificaron los procesos relevantes y se recolectó información a través de encuestas, entrevistas y análisis documental. Luego, se caracterizaron las condiciones utilizando técnicas estadísticas y de análisis de contenido para identificar patrones y tendencias en la información. Finalmente, se revisaron los resultados y se elaboró un informe detallado de las condiciones del ambiente laboral.

    Figura 1. Etapas del proceso metodológico
    Figure 1. Stages of the methodology used in this study
    Fuente: elaboración propia.

    En la segunda etapa, análisis de la normatividad legal vigente, se establecen los valores límites permisibles (TLV), que son valores establecidos por organismos reguladores que determinan la cantidad máxima de exposición permitida de una sustancia química en el ambiente laboral. Estos valores se actualizan periódicamente para garantizar la seguridad de los trabajadores. Se utilizaron técnicas de recolección de datos y análisis cuantitativo para determinar los valores límites permisibles y las enfermedades laborales más comunes en la industria.

    En la tercera etapa del proceso, evaluación de riesgos, se establecen los criterios y atributos necesarios para evaluar la significancia de los riesgos identificados en la fase anterior. Estos criterios pueden incluir la probabilidad de que ocurra el riesgo y la vulnerabilidad de la empresa ante este. Los atributos, por otro lado, son las características específicas que se utilizarán para evaluar cada riesgo, tales como la exposición de los trabajadores, el impacto en la salud humana, el impacto ambiental, entre otros.

    Además, es fundamental establecer un proceso claro y coherente para evaluar y clasificar los riesgos identificados en función de estos criterios y atributos, todo ello permitirá a la empresa tomar decisiones informadas sobre cómo manejar los riesgos identificados y reducir su impacto en la organización y en su entorno, para, finalmente, consolidarlo en una matriz integrada.

    4. RESULTADOS

    En esta sección se presentan los resultados obtenidos mediante la aplicación rigurosa y sistemática de la metodología establecida en la investigación. Cada etapa se llevó a cabo con el objetivo de obtener resultados precisos y representativos, garantizando así la confiabilidad de estos.

    Etapa 1: informe de condiciones iniciales

    Identificación del proceso

    Se realizó una recolección exhaustiva, a través de una lista de chequeo, de la información sobre los diferentes procesos que componen las áreas de las empresas. Se identificaron todas las actividades involucradas en el proceso industrial, incluyendo la descripción de tareas, duración y frecuencia, así como el número y características de los trabajadores y partes interesadas.

    Recolección de la información

    Para recopilar la información requerida, se emplearon varias técnicas, incluyendo entrevistas, cuestionarios y encuestas. Estas técnicas se aplicaron a supervisores y operarios del subsistema de operaciones que tenían al menos cinco años de experiencia en la empresa y, por lo tanto, poseían un conocimiento detallado del proceso de manufactura. En total, se realizaron estas técnicas a treinta y tres trabajadores.

    Se utilizó la técnica de entrevista semiestructurada para obtener información sobre las características del proceso industrial, incluyendo el flujo de materiales e información, cuellos de botella, desperdicios, reutilización, sistemas de control y gestión de calidad. Las preguntas abiertas utilizadas durante la entrevista permitieron recopilar información detallada y determinar los criterios de aceptabilidad de los riesgos identificados. Una vez diseñado el cuestionario, se aplicó a la población objetivo.

    De igual manera, se empleó un cuestionario tipo encuesta para recopilar información sobre los riesgos laborales asociados con la operación, ya que esta información era más sensible. El cuestionario se diseñó de manera anónima para reflejar la realidad del proceso de la forma más precisa posible. Se utilizó la información obtenida en la caracterización de procesos y se pidió a los participantes que calificaran los riesgos identificados en una escala de tres opciones: 1: leve, 2: moderado y 3: grave. Además, se incluyó un espacio para que los participantes pudieran ampliar la información con sus propias ideas.

    Caracterización de condiciones

    Se consideró de suma importancia detallar de manera técnica y científica las tareas no rutinarias, las actividades de mantenimiento, las paradas obligatorias y los tiempos muertos del proceso para llevar a cabo una caracterización exhaustiva que no omitiera elementos que pudieran tener algún efecto negativo en el entorno ambiental o de riesgo laboral. Para complementar esta etapa de caracterización, se llevó a cabo una inspección detallada de las máquinas, equipos y fuentes que generan impactos ambientales, tales como las calderas, generadores, hornos, fuentes eléctricas y de gas, entre otros.

    Simultáneamente, se realizó una identificación de los controles existentes y de sus acciones de mejora con el objetivo de determinar si las medidas preventivas con las que cuenta la organización son efectivas para reducir el riesgo asociado a cada actividad, según lo descrito por Naranjo Riascos (2014).

    Además, se llevó a cabo un reconocimiento detallado de las materias primas e insumos utilizados en la manufactura, especificando aquellos productos que pudiesen propiciar la emisión de sustancias nocivas al aire, agua, suelo y la afectación a la salud del trabajador. Se evaluaron posibles emisiones de humos, gases, vapores, líquidos, polvos o sólidos y cualquier otro elemento que pudiera tener efectos adversos en la salud de las personas expuestas. Es importante destacar que los efectos adversos dependen tanto de la concentración como de la duración de la exposición, así como de la susceptibilidad de las personas expuestas, tal como explica Oyarzún (2010).

    Revisión final

    En el proceso de caracterización ambiental, se logró identificar, reconocer y priorizar las medidas ambientales que están estrechamente relacionadas y proporcionales a la producción, utilizando la información disponible, tal como lo describen Pelegrín Mesa y Ortíz Paniagua (2014).

    Entre las medidas ambientales identificadas, se destacan principalmente los agentes físicos y químicos, así como la contaminación del aire, agua y suelo. También se evaluó el consumo de recursos naturales como el agua, la energía y el gas, al igual que el uso del suelo, el desagüe y la disposición de residuos sólidos. Sin embargo, cabe mencionar que estas medidas están reguladas por la autoridad nacional y son exigibles en el ordenamiento jurídico colombiano, por lo que se excluyeron del presente estudio. Es importante destacar, además, que la identificación y priorización de estas medidas ambientales contribuyen a minimizar los efectos negativos del proceso productivo en el medio ambiente y en la salud de los trabajadores, lo que a su vez puede mejorar la imagen y reputación de la empresa ante la sociedad y las autoridades ambientales.

    Con la información recogida en esta etapa 1, se elaboró un informe denominado «Informe de condiciones iniciales». En la Tabla 1 se desglosaron cada una de las actividades del proceso, se identificaron los contaminantes presentes en el medio laboral, detallando todos los aspectos ambientales que se originan, asimismo, los impactos que se generan al entorno y a los trabajadores; también, se incluyeron los posibles efectos de las condiciones en la salud del trabajador, para establecer la relación «Ambiente-Laboral».

    Tabla 1. Componentes de las condiciones iniciales
    Table 1. Components of the initial conditions
    Componentes
    Descripción del componente
    Actividad
    Se describe la actividad que corresponde al proceso de producción
    Condición de operación
    Se indica si la actividad es Normal del proceso -Anormal o no rutinaria- De emergencia- De parada- De arranque
    Máquina o equipo
    Nombre de la máquina o equipo
    Responsable de la actividad
    Cargo y/o nombre del responsable de la actividad
    Aspecto ambiental
    Determinar el consumo de agua, energía, carbón, papel, vidrio, combustibles fósiles, generación de aguas residuales, de gases, humos, vapores, temperaturas, vibraciones, ruido, olores, de residuos sólidos ordinarios, residuos sólidos peligrosos.
    Descripción del aspecto ambiental
    Detallar el aspecto ambiental identificado haciendo explícita su condición actual y sus unidades de medidas
    Impacto ambiental
    Determinar si aumenta la presión sobre los recursos renovables, presión sobre los recursos naturales no renovables, contaminación del aire, suelo, agua.
    Impacto a la salud del trabajador
    Enfermedades que generan al trabajador por la exposición al impacto ambiental
    Fuente: elaboración propia.

    Etapa 2: Análisis de la normatividad legal vigente

    Una vez determinada el estado de las organizaciones, esta etapa consiste en analizar la normatividad legal vigente y recoger la información necesaria para alimentar cada celda de la matriz a partir de los impactos y aspectos encontrados, y para ello, se utiliza como referente los valores límites permisibles establecidos por la American Conference of Governmental Industrial Hygienists (ACGIH, 2020), que publica anualmente una lista de TLV para sustancias químicas, agentes físicos e indicadores biológicos. Estos valores son de naturaleza normativa y su incumplimiento puede llevar a sanciones, multas y comparendos ambientales. Los comparendos ambientales son una herramienta para promover la salud pública, fomentar la cultura ambiental y promover la recuperación del medio ambiente, los cuales están regulados por ley (Díaz Fernández y Soto Piñeros, 2019).

    En la Tabla 2 se establecen los TLV utilizados para la evaluación de los aspectos ambientales y se ponderaron mediante una escala de tres categorías para su análisis, establecido para una jornada normal de ocho horas diarias y cuarenta horas semana.

    Tabla 2. Valores límites permisibles establecidos por la ACGIH
    Table 2. Permissible limit values established by the ACGIH
    Valoración
    RUIDO (DB)
    VIBRACIONES
    CALOR TÉRMICO
    MATERIAL PARTICULADO
    GASES TÓXICOS(µg/m3)
    Mano-Brazo m/seg2
    Cuerpo entero m/seg2
    Gasto metabólico
    Tiempo en minutos
    Temperatura (°C)
    Polvo inhalante (µg/m3)
    Polvo respirable (µg/m3)
    Monóxido de carbono
    H2S
    Sílice
    Leve <
    80
    2,5
    9,1
    235
    15
    22
    9
    2
    23
    1
    0,024
    Moderado
    81-84,9
    2,6-4,9
    9,2-20
    359,9
    29,9
    24,9
    9,1- 9,9
    2,1 -2,9
    24
    4,9
    0,0249
    Grave >
    85
    5
    21
    356
    30
    25
    10
    3
    25
    5
    0,025
    Fuente: elaboración de los autores con base en información de ACGIH..

    De igual manera, se determinaron atributos de Leve, que corresponde a los aspectos ambientales que no tienen un impacto significativo para el medio ambiente ni afección a la salud del trabajador. Moderado, aspectos ambientales que tienen mayor probabilidad de afectar el medio ambiente y la salud de los trabajadores debido a su nivel de riesgo o frecuencia de exposición. Grave, para aspectos ambientales que tienen impacto en el entorno y en la salud de los trabajadores por su frecuencia de exposición o por el riesgo que implica.

    No sobra decir que estas condiciones ambientales pueden tener efectos adversos sobre la salud del trabajador, que actualmente se encuentran contempladas en el Decreto 1477 de 2014 y por el Decreto 676 de 2020 en el territorio colombiano, por el cual se incorpora una enfermedad directa a la tabla de enfermedades laborales; cada una de estas enfermedades contempladas en la normatividad dependen de variables como la concentración del agente contaminante, el tiempo de la exposición y el valor que toma la condición dentro de la escala de calificación (Jeon et al., 2014). Con base en la bibliografía consultada, se realizó un análisis matricial para relacionar la condición ambiental con los efectos sobre la salud, lo que permite entender el impacto de los agentes contaminantes encontrados en el diagnóstico y la capacidad de provocar la enfermedad laboral, como se puede observar en la Tabla 3, donde se incluyen los códigos establecidos por la normatividad vigente para su identificación.

    Tabla 3. Posibles enfermedades establecidas por el Decreto 1477 de 2014 y el Decreto 676 de 2020 por el cual se incorpora una enfermedad directa a la tabla de enfermedades laborales
    Table 3. Potential diseases outlined in Decree 1477 of 2014 and Decree 676 of 2020, which incorporates a direct disease into the table of occupational diseases
    RIESGO
    POSIBLES EFECTOS SOBRE LA SALUD
    LEVE
    MODERADO
    GRAVE
    RuidoValor de límite permisible. Sin efectos adversos. Conservar medidas preventivas.Provoca alteraciones temporales del umbral auditivo. Acúfenos. Malestar, estrés, nerviosismo.Hipoacusia neurosensorial (H93,2). Fatiga auditiva. Hipertensión arterial (I10). Síndrome por ruptura traumática del tímpano (S09,2).
    Vibraciones mano-brazoValor de límite permisible. Sin efectos adversos. Conservar medidas preventivas.Lesiones de hombro (M75) Manguito rotador o síndrome de supraespinoso extremidad (M75.1).Síndrome de Raynaud (173,0). Acrocianosis y acroparestesias (173,8). Contractura de Dupuytren (M72,0). Epicondilitis lateral (M77,1); Mialgia (M79,1). Otros trastornos específicos de tejidos blandos (M79,8). Osteonecrosis (M87).
    Vibraciones cuerpo enteroValor de límite permisible. Sin efectos adversos. Conservar medidas preventivasCompromiso leve: náuseas, palidez sudor, que ceden al cesar la vibración. Dolor articular (M25,5). Síndrome cervicobraquial (M53,1).Otras osteonecrosis; secundarias (M87,3). Enfermedad de Kienbock del adulto (osteocondrosis del adulto del semilunar del carpo) (M93,1) y otras osteocondropatías especificas (M93,8).
    TemperaturaValor de límite permisible. Sin efectos adversos. Conservar medidas preventivas.Golpe de calor e insolación (T67,0). Síncope por calor (T67,1). Calambre por calor (T67,2). Urticaria debida al calor o al frío (L50,2).Enfermedad pulmonar debida a sistemas de aire acondicionado y de humidificación del aire (J67,7). Leucodermia no clasificada en otra parte (incluye «vitíligo ocupacional») (L81,5). Congelamiento superficial (T33). Congelamiento con necrosis de tejidos (T34). Hipotermia (T68). Otros efectos de la reducción de la temperatura (T69).
    Polvo inhalableValor de límite permisible. Sin efectos adversos. Conservar medidas preventivas.Otras rinitis alérgicas (J30,3). Reacciones a estrés grave (F43).Asma (J45). Cáncer de pulmón. Bronquitis y neumonitis causada por productos químicos, gases, humos y vapores (bronquitis aguda) (J68,0).
    Polvo respirableValor de límite permisible. Sin efectos adversos. Conservar medidas preventivas.Otras rinitis alérgicas (J30,3).Neumonitis por hipersensibilidad a polvo orgánico (J67).
    Monóxido de carbonoValor de límite permisible. Sin efectos adversos. Conservar medidas preventivas.Demencia en otras enfermedades (F02:8). Trastornos del nervio olfatorio (G52,0). Angina de pecho (120). Dispepsia (K30).Infarto agudo de miocardio (I21). Paro cardiaco (I46). Arritmias cardiacas (I49).
    H2S (ácido sulfhídrico)Valor de límite permisible. Sin efectos adversos. Conservar medidas preventivas.Síndrome de disfunción reactiva de las vías aéreas (J68,3). Efectos tóxicos agudos (TS7,3) (T58) (TS9.6).Edema pulmonar agudo causado por productos químicos, gases, humos y vapores (J68,1). Bronquiolitis obliterante crónica, enfisema crónico difuso o fibrosis pulmonar crónica (J68,4). Bronquitis y neumonitis causada por productos químicos, gases, humos y vapores (Bronquitis química aguda) (J68,0).
    SíliceValor de límite permisible. Sin efectos adversos. Conservar medidas preventivas.Trastorno de ansiedad generalizada (F41,1). Trastorno mixto ansioso depresivo (F41,2). Reacciones a estrés grave (F43). Dispepsia (K30).Neoplasia maligna de bronquios y de pulmón (C34). Enfermedad cardiaca pulmonar sin especificar (127,9) (cor pulmonares). Otras enfermedades pulmonares obstructivas crónicas (incluye asma obstructiva, bronquitis crónica, bronquitis obstructiva crónica) (J44). Silicosis (J62). Neumoconiosis asociada con tuberculosis (silicio - tuberculosis) (J63,8). Síndrome de Caplan (J99,1; M05,3).
    Fuente: elaboración propia.

    Etapa 3. Evaluación del riesgo

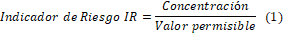
    En la evaluación y análisis del riesgo, es importante identificar las fuentes de contaminación potenciales y las rutas de exposición, que son los diferentes caminos por los cuales los trabajadores pueden estar expuestos a los contaminantes, incluyendo la vía oral (a través de la ingesta de alimentos, agua o suelo), la vía respiratoria (por inhalación) y la absorción a través de la piel (por contacto dérmico) (Echeverry et al., 2015), estableciéndose una relación de la severidad de la exposición al factor de riesgo y el valor límite permisible, el resultado numérico de la relación entre la concentración y el valor límite permisible para dicho contaminante, determinar la criticidad del agente contaminante y la posible afectación que le genera al trabajador si las medidas de intervención no han sido adoptadas de acuerdo a la normatividad vigente. La Fórmula (1) propuesta por Bernardo et al. (2012), que se utilizó para calcular el indicador del riesgo, es:

    En la Tabla 4 se detallan los criterios para la caracterización del riesgo y se refleja la relación con las condiciones ambientales evaluadas, manteniendo la escala de valoración en los tres niveles anteriormente expuestos: leve, moderada y grave. Se incluyen, además, las posibles consecuencias que le pueden ocasionar al trabajador por la exposición constante a los agentes contaminantes o por la falta de medidas de control efectivas.
    Tabla 4. Criterios para caracterización del riesgo
    Table 4. Criteria for risk characterization
    Clasificación del riesgo
    Características
    LEVE
    IR < 0,5 No se genera ningún tipo de sanción ambiental ni laboral. Cumple con los límites permisibles según la legislación vigente. Las condiciones se deben mantener controladas. Los elementos de protección personal son eficientes en este rango. Mantener las medidas preventivas y realizar inspecciones periódicas.
    MODERADO
    0,5 < IR < 1 Generar planes de control ambiental y laboral para evitar sanciones y/o multas. Los valores que toma el factor están relativamente cerca de los límites permisibles. Los elementos de protección personal son indispensables y deben ser controlados de manera efectiva para asegurar su buen desempeño. Es necesario intervenir el proceso y tomar medidas de control correctivas y preventivas eficientes.
    GRAVE
    IR > = 1 Los valores de la medición son iguales o superiores al límite establecido por las normas. Hay alta probabilidad de sanciones establecidas en la ley. Aumenta la posibilidad de accidentes o enfermedades laborales aún si se dispone de elementos de protección personal. Se requiere intervención inmediata e incluso se puede requerir la interrupción del proceso.
    Fuente: elaboración por los autores adaptada a la GTC 45 ICONTEC.

    Igualmente, se determinó un código de colores para facilitar su interpretación, así: color rojo, indica alto riesgo y su efecto se considera grave. En general supera el TLV. Requiere intervención inmediata. La relación obtenida en el índice de riesgo IR es igual o mayor a 1. La exposición del trabajador puede tener consecuencias severas. El control del riesgo debe ser urgente. Hasta que el riesgo sea controlado o minimizado debe hacerse seguimiento médico frecuente a los trabajadores expuestos. El color amarillo, riesgo moderado, se debe tratar con precaución y cuyo valor se encuentra alrededor del nivel intermedio del límite permisible. Cuando la relación está entre 0,5 y 1, es necesario utilizar elementos de protección personal para evitar la exposición al riesgo. Además, es importante prevenir y controlar el riesgo y realizar un seguimiento médico del trabajador de acuerdo con la normativa legal vigente. En el caso de que el color asignado sea verde, lo cual indica un riesgo leve, se debe mantener control sobre las condiciones, ya que el IR es inferior a 0,5 y está por debajo del límite permitido.

    Con base en la información recolectada, se elaboró una herramienta que permitió desarrollar un análisis integral que apoyara los procesos en la toma de decisiones. En la herramienta se digitan los datos de cada medición y a través de un código de colores y una barra indicadora se pueden interpretar las condiciones ambientales en la que se encuentra el entono y cómo afecta a la salud del trabajador. El código de color verde, amarillo y rojo establece el nivel de riesgo, como ya se explicó anteriormente, de tal manera que, visualmente, permite concentrar la atención en los riesgos más significativos. Por otro lado, la barra registra el valor de la variable ambiental que genera el riesgo, por lo cual es posible establecer en cuánto se supera el valor máximo permitido. En la Figura 2 se detalla un ejemplo del resultado obtenido para una escala de ruido a diferentes frecuencias que van desde 250 Hz hasta 8 kHz.

    Figura 2. Matriz integral para factor de riesgo ruido
    Figure 2. Integrated matrix for assessing noise risk
    Fuente: elaboración propia.

    La herramienta utilizada permitió identificar aquellos aspectos ambientales que presentan un alto nivel de riesgo y que requieren una atención inmediata por parte de la empresa, lo cual se representa en la escala de color rojo. Es importante destacar que, en estos casos, el uso de elementos de protección personal no es suficiente para solucionar la situación de riesgo, ya que su impacto negativo en el medio ambiente sigue siendo significativo.

    Por otro lado, en el caso de los aspectos ambientales que se ubican en la escala de color amarillo y verde, se pueden abordar inicialmente a través de medidas de protección personal o mediante la implementación de mecanismos de control en la maquinaria. Aunque también se pueden tomar medidas para mejorar el aspecto ambiental, estas decisiones se deben emprender acciones en función de las prioridades y necesidades identificadas a través de la herramienta, lo que permite una gestión más eficiente de los recursos y esfuerzos de la empresa.

    De igual modo, se procedió a identificar cada una de las actividades involucradas en los procesos de producción con el fin de elaborar la matriz integrada. El análisis de la situación medioambiental permitió la identificación de todos los aspectos que afectan a la calidad del entorno laboral. Para determinar y priorizar los riesgos en un producto o proceso, resulta fundamental identificar las variables significativas, lo que permite a las empresas contar con un conocimiento profundo de su actividad, incluyendo, tanto sus fortalezas, como sus debilidades, oportunidades y amenazas. De esta manera, se puede determinar si un evento específico representa un riesgo para la organización. Este enfoque ha sido destacado como clave para una gestión eficaz del riesgo en diversas fuentes (Ghantt, 2012; Ferreira de Araújo Lima et al., 2020).

    La Figura 3 muestra todos los impactos presentes en los procesos productivos de las empresas objeto de estudio. Esta información se estableció durante una jornada laboral de ocho (8) horas y a lo largo de un período de tres (3) meses de observación. Como las empresas tienen actividades y tareas similares, es evidente la presencia de riesgos ambientales y laborales comunes. Estos riesgos incluyen las emisiones atmosféricas, generadas en su mayor parte por partículas procedentes de cada fase del proceso de producción. La exposición a estas partículas puede causar enfermedades crónicas o agudas cuando sus concentraciones superan los umbrales máximos permitidos (Gouveia et al., 2018).

    Figura 3. Diagnóstico ambiental para las empresas caso de estudio
    Figure 3. Environmental assessment of the companies under study
    Fuente: elaboración propia.

    Del mismo modo, se generan gases tóxicos procedentes de los tubos de escape de los vehículos que entran en la planta y de la caldera que funciona con carbón como combustible, lo que hace que existan riesgos químicos. Los gases y sustancias tóxicas procedentes del CO, H2S y sílice se consideran especialmente peligrosos. Los riesgos físicos, como el ruido, las vibraciones y las temperaturas extremas que pueden causar posibles enfermedades profesionales, también están presentes en las actividades del proceso.

    Adicionalmente, dentro de las actividades del proceso, se originan gases tóxicos que se desprenden de los escapes de los vehículos que ingresan a la planta y de la caldera que funciona con carbón mineral como combustible; debido a esto, se consideran riesgos químicos los gases y las sustancias tóxicas originadas especialmente por el CO, H2S y sílice, e igualmente riesgos físicos como el ruido, las vibraciones y las temperaturas extremas susceptibles de generar posibles enfermedades laborales.

    Mediante un análisis previo, se llevó a cabo una toma de muestras para identificar la presencia de contaminantes en el ambiente laboral. Para ello, se emplearon equipos de metrología con el objetivo de obtener información detallada acerca de la exposición de los trabajadores y las condiciones del ambiente en el que desarrollan sus actividades. La información obtenida fue comparada con los valores límite establecidos por la ACGIH en la Tabla 2 para evaluar la situación y determinar si se cumplen los criterios establecidos.

    Se empieza analizando el ruido como primer contaminante, el cual se considera el contaminante físico más prevalente en los entornos laborales. La exposición prolongada, y sin la debida protección en altos niveles sonoros, representa un riesgo potencial para la salud (Burgos Sánchez, 2015) y, aunque no existe una definición precisa, se entiende que el ruido es un sonido que causa molestia a quien lo percibe, y su nivel de incomodidad depende de factores como la fuerza, la frecuencia y la duración de la exposición este (Ramírez González y Domínguez Calle 2011).

    Para efectos del estudio se optó por realizar sonometrías. Esta técnica se utiliza básicamente para cuantificar los niveles de ruido generados por una máquina en un puesto de trabajo, por consiguiente, se calculó el índice de presión sonora y la frecuencia para obtener el indicador del riesgo, debido a la continuidad del ruido generado en las diferentes áreas donde predomina la labor operativa. En la Tabla 5 se muestran los promedios de las mediciones higiénico-sanitarias realizadas.

    Tabla 5. Mediciones de ruido
    Table 5. Noise measurements
    Empresa
    NPSdB (A)
    NPS Db(Lin)
    Análisis de Frecuencia (Db(Lin))
    IR
    63
    125
    250
    500
    1k
    2k
    4k
    8k
    A
    98,5
    102
    78,3
    86,6
    95,0
    93,8
    91,9
    84,1
    80,7
    77,1
    GRAVE
    B
    97
    105
    88
    92,3
    93,7
    95,3
    90,0
    90,5
    81,9
    79,0
    GRAVE
    Fuente: elaboración propia.

    Para las áreas de trabajo operativo correspondientes al 100% de los sitios evaluados, se presentan niveles de presión sonoros superiores a los 85 dB (A), razón por la cual se establece como nivel de riesgo alto para todo el personal que ejecuta sus labores en las distintas organizaciones. Cabe resaltar que, a partir de los 85 dB (A) que sobrepasa los valores límites permisibles, las fuentes de ruido pueden generar frecuencias dañinas, en este hallazgo resulta indispensable el uso de protección auditiva de inserción o de copa como medida aplicada al individuo, asimismo, rotación de puestos de trabajo y exámenes de audiometría periódicamente, para mantener la salud auditiva de los trabajadores expuestos a altos nivel de presión sonora.

    Otro de los contaminantes físicos habituales en los entornos laborales es el calor, el cual puede generar sensaciones de incomodidad entre los trabajadores expuestos. Además, puede provocar afecciones de mayor gravedad que podrían comprometer la salud de los empleados y disminuir su rendimiento en el trabajo (Fisk, 2000, Wyon, 2004, Gutiérrez et al., 2018). En la Tabla 6 se presenta el análisis del riesgo de estrés térmico para las personas que están expuestas a un ambiente caluroso y que dependen, en gran medida, la producción de calor en el cuerpo humano, resultado este de la actividad física y las condiciones ambientales.

    Tabla 6. Mediciones estrés térmico
    Table 6. Thermal stress measurements
    Empresa
    Fuentes que generan calor
    Tipo de vestimenta usada
    Controles de ingeniería usados
    WBGT (°C) in
    Régimen detrabajo
    IR
    ARadiación térmica por parte de la caldera ubicada en las mismas instalaciones de molienda, aporte térmico ambiental durante los días soleados.Camisa manga larga en color gris, pantalón largo en jean azul, zapato cerrado.No se disponen de mecanismos para el control térmico en el área evaluada, ingreso eventual corrientes de aire natural.30°25-50­%Grave
    BNo se evidencian fuentes fijas generadoras de calor, fenómeno de convección durante la jornada laboral.Overol de color blanco. Cofias, zapato cerrado.Ingreso ocasional de corrientes de aire, lo que logra generar recirculación interna.25°75-100­%Moderado
    Fuente: elaboración propia.

    Los trabajadores que laboran en ambientes cálidos y realizan un esfuerzo físico significativo pueden verse afectados en su sistema de regulación térmica corporal, lo que impide un intercambio normal de temperatura entre su cuerpo y el entorno. Esto significa que el intercambio de calor entre el ambiente y el cuerpo se ve afectado. Cuando el cuerpo no puede liberar el calor generado al ambiente, este se acumula en el interior del cuerpo y aumenta la temperatura corporal, lo que puede producir daños irreversibles. Esto se ha reportado en estudios como el de Camacho Fagúndez (2013).

    En la evaluación del riesgo por estrés térmico, se empleó el método del índice WBGT, conocido como «Wet Bulb Globe Temperature», o en español «Índice de temperatura del globo negro y termómetro húmedo», como se informó por Cújar-Vertel y Julio Espitia (2016). Este método se basa en la medición de diversas variables ambientales para evaluar las condiciones de trabajo en un lugar determinado. En particular, se midieron los parámetros de temperatura para cada área analizada y se calculó el índice WBGT correspondiente. Para establecer el promedio de las condiciones ambientales, se utilizaron tiempos representativos de quince minutos, medidos por monitores de estrés térmico. De esta manera, se pudieron obtener los resultados de la jornada de trabajo y determinar el factor que relaciona las variables meteorológicas con el estrés térmico experimentado por las personas en función de la actividad que realizan.

    En las instalaciones internas donde se encuentra la caldera, se registran aportes térmicos debido a que se disponen de fuentes fijas que generan calor, pero no de mecanismos para el control del factor de riesgo físico por temperaturas extremas, esto hace que la sensación térmica se encuentre elevada en la empresa A, por lo que se determina un nivel de riesgo alto para el personal expuesto en esta área, específicamente. Para la empresa B, la temperatura dependía en gran medida de los factores ambientales externos, ya que no se observan fuentes fijas que generaran trasferencia térmica por radiación, por tanto, se determina nivel de riesgo moderado, debido a las condiciones locativas actuales que permiten la circulación de las corrientes de aire natural que logran generar recirculación interna desplazando de esta forma los vapores acumulados por acción de trabajo operativo.

    Otro contaminante importante es el material particulado (MP), que consiste en una mezcla de partículas sólidas y líquidas que se encuentran en el aire en diferentes concentraciones y tamaños. Según Kunovac et al. (2020), estas partículas pueden incluir ácidos, sales, materiales carbonosos, orgánicos volátiles, metales, tierra y polvo, y se clasifican en dos tipos según su tamaño: MP grueso (MP10) y MP fino (MP2,5).

    Según Rubio Romero (2004), diversos estudios epidemiológicos han establecido una relación entre la exposición a niveles elevados de material particulado y un incremento en la cantidad de visitas de urgencia hospitalaria por asma. Este efecto se debe a que las partículas con tamaño inhalable de hasta 10 micras pueden ingresar en el sistema respiratorio, mientras que las partículas respirables con tamaño menor a 2,5 micras pueden penetrar directamente en los pulmones, lo que puede producir una disminución de la función pulmonar, un aumento de la reactividad bronquial, una disminución de la tolerancia al ejercicio y un mayor riesgo de bronquitis obstructiva crónica, entre otros síntomas respiratorios, según lo expuesto por Huang et al. (2018).

    En la Tabla 7 se detallan las mediciones realizadas para la fracción respirable PM2,5 (2,5 micras), ya que es uno de los mayores contaminantes presentes en este tipo de organizaciones (Bai et al., 2017), se calcula el índice de riesgo y sus concentraciones para la empresa A y B. Los resultados fueron superiores al parámetro establecido como nivel máximo permisible para polvo fracción respirable en la empresa A, lo cual determina un riesgo moderado; sin embargo, para la empresa B, los resultados promedios establecidos resultan inferiores, determinando un riesgo leve en las actividades de la empresa.

    Tabla 7. Mediciones material particulado
    Table Particulate matter measurements
    Empresa
    Peso inicial (mg)
    Peso final (mg)
    Peso neto (mg)
    Volumen muestreado (m³)
    Concentración encontrada (mg/m³)
    Índice de riesgo
    A
    12,47 mg
    13,78 mg
    1,31 mg
    1,058 m³
    1,23 mg/m³
    Moderado
    B
    13,30 mg
    13,74 mg
    0,44 mg
    1,063 m³
    0,41 mg/m³
    Leve
    Fuente: elaboración propia.

    Además de los efectos mencionados, la exposición a material particulado también puede aumentar el riesgo de enfermedades cardiovasculares como infarto de miocardio, accidente cerebrovascular y enfermedad coronaria, así como la mortalidad asociada a estas enfermedades (Alemayehu et al., 2020). La presencia de MP en el aire también puede tener efectos negativos sobre la calidad del agua y la biodiversidad, al depositarse en ríos, lagos y océanos, afectando la calidad del agua y reduciendo la cantidad de luz solar que llega a los organismos acuáticos, lo que puede alterar su crecimiento y reproducción (Bai et al., 2017). Por lo tanto, es importante implementar medidas para reducir la exposición a este contaminante y prevenir los efectos negativos en la salud y el medio ambiente.

    Para el análisis de los riesgos químicos presentes, se determinaron los gases tóxicos, por lo tanto, se utilizó un ciclón de aluminio para la colección de las partículas respirables con un flujo de 2,5 l/min, para conocer la concentración a material particulado por polvo respirable y con análisis de sílice ( alfa cuarzo y cristobalita), este valor se seleccionó con el fin de emular la cantidad de aire respirado por una persona, tomando en cuenta una frecuencia de inhalación promedio durante la jornada laboral (Cortés González, 2018). El aire succionado por la bomba contiene las partículas que van a ser confinadas en un filtro de membrana de policloruro de vinilo (PVC) con un diámetro de 37 mm y un grosor de 5,0 μm, siguiendo las recomendaciones de la Agencia Americana para la Protección Ambiental (Environmental Protection Agency, 2004).

    En tal sentido, se indica que las mediciones ocupacionales solo se realizaron en la empresa A, debido a que la empresa B no cuenta con caldera y no genera riesgo por dicha exposición. Con relación a la Tabla 8, se presentan las concentraciones para polvo y cristobalita respirable que está por debajo del valor límite permisible, estableciendo un riesgo leve. Sin embargo, los niveles para alfa cuarzo determinados en la muestra están por encima del límite permisible, por lo cual se establece un índice de riesgo grave.

    Tabla 8. Mediciones sílice
    Table 8. Silica measurements
    EMPRESA
    SUSTANCIA
    CONCENTRACIÓNmg/m³
    % SÍLICE CRISTALINA
    TLV-TWAmg/m³
    ÍNDICE DE RIESGO
    A
    Polvo respirable
    0.44 mg/m³
    ----------
    2,343 mg/m³
    Leve
    Cristobalita
    < 0,0047 mg/m³
    < 1,1­%
    0,0195 mg/m³
    Leve
    α - Cuarzo
    0,16 mg/m³
    37­%
    0,0195 mg/m³
    Grave
    Fuente: elaboración propia.

    Es importante mencionar que la exposición al material particulado no solo afecta la salud respiratoria, sino que también puede tener efectos negativos en otros sistemas y órganos del cuerpo humano, como el cardiovascular y el nervioso (Guo et al., 2019). El estudio muestra que la exposición a largo plazo a la contaminación ambiental y laboral puede estar asociada con la disminución de la función pulmonar y un aumento en el riesgo de desarrollar enfermedades respiratorias crónicas como la EPOC, así como también enfermedades cardiovasculares y neurológicas. Por lo tanto, es esencial tomar medidas preventivas para reducir la exposición a este tipo de contaminación, tanto en el ambiente laboral como en el ambiente exterior, estas medidas pueden incluir la utilización de equipos de protección personal, la implementación de medidas de control de la contaminación en el lugar de trabajo y la promoción de políticas públicas que fomenten la reducción de emisiones de gases y partículas contaminantes en el ambiente.

    En la Tabla 9 se evidencia que la empresa A genera humos de forma continuada durante el proceso de combustión, así como la presencia de fuga de humo en los alrededores de la caldera; sin embargo, cuando se comparó los resultados obtenidos con los valores límites permitidos, se determinó que los niveles de exposición por gases tóxicos que posiblemente pueden afectar la salud de los trabajadores, son leves, debido a que no hay presencia de gases, solo se presenta como contaminante el monóxido de carbono (CO) y se encuentra por debajo de los valores establecidos por la ACGIH, de 23 (µg/m3 ) mínimo y 25 (µg/m3) máximo.

    Tabla 9. Mediciones gases tóxicos
    Table 9. Toxic gas measurements
    Empresa
    Pico de monóxido
    Promediomonóxido
    Pico explosividad%
    Promedioexplosividad%
    Promedio óxigeno%
    Pico de H2S
    PromedioH2S
    A
    13,0 ppm
    2,2 ppm
    0,0­%
    0,0­%
    20,9­%
    0,0 ppm
    0,0 ppm
    Fuente: elaboración propia.
    En el presente estudio, la Figura 4 muestra el resultado final que genera la herramienta que permite identificar, prevenir, tratar y evidenciar los riesgos presentes en las diferentes actividades que tienen las pequeñas y medianas empresas dedicadas a la fabricación de alimentos balanceados para animales, específicamente, se examinan y se sugieren controles para establecer un sistema de gestión integrado que permita una visión integral de los tres marcos de referencia en la gestión de calidad: Sistemas de Gestión Ambiental (ISO 14001), Salud y Seguridad en el Trabajo (OHSAS 18001), determinando que estas tres normas están estrechamente relacionadas, estableciendo los objetivos y alcances dentro de un programa de gestión de riesgos, logrando conocer el estado actual de las empresas objeto de estudio que, en este caso, determina el grado de criticidad de cada riesgo dependiendo de las medidas de control que tenga implementadas cada organización.
    Figura 4. Matriz integrada
    Figure 4. Integrated matrix
    Fuente: elaboración propia.
    5. DISCUSIÓN

    Los resultados obtenidos en este estudio son consistentes con las investigaciones previas llevadas a cabo por Ferreira de Araújo Lima et al. (2020), los cuales indican que el ruido es el contaminante físico más común en los entornos de trabajo, la exposición prolongada a niveles altos de ruido sin la protección adecuada puede representar un riesgo potencial para la salud, tal y como ha sido señalado por Burgos Sánchez (2015). Asimismo, se ha identificado que el calor es otro contaminante importante que puede generar incomodidad entre los trabajadores expuestos, así como afecciones de mayor gravedad que podrían comprometer su salud y disminuir su rendimiento laboral. Esta afirmación ha sido respaldada por los estudios realizados por Fisk (2000), Wyon (2004) y Gutiérrez et al. (2018).

    Los trabajadores que desempeñan sus labores en ambientes cálidos y realizan un esfuerzo físico considerable pueden experimentar trastornos en su sistema de regulación térmica corporal, lo que dificulta el intercambio normal de temperatura entre su cuerpo y el ambiente, esta situación puede tener consecuencias graves e irreversibles, tal y como lo menciona Camacho Fagúndez (2013); de hecho, investigaciones previas han confirmado que la efectividad de un control adecuado de las condiciones en el ambiente laboral se relaciona directamente con la implicación y el compromiso de todos los niveles jerárquicos dentro de la organización; de igual forma, se ha identificado que el material particulado (MP) es un contaminante de riesgo moderado que se encuentra presente en las áreas de trabajo, el cual puede penetrar directamente en los pulmones, ocasionando el riesgo de infarto de miocardio, accidente cerebrovascular y enfermedad coronaria, y mortalidad asociada a estas enfermedades, según lo señalado por Huang et al. (2018) y Kunovac et al. (2020).

    Con relación a los niveles de sílice encontrados, en particular los niveles de alfa cuarzo presentes en la muestra recolectada, se ha determinado que están por encima del límite permisible, estableciendo un índice de riesgo grave de acuerdo con los hallazgos reportados por Crovini et al. (2021), por lo tanto, resulta crucial que las empresas empleen diversas herramientas, tanto cuantitativas, como cualitativas, para abordar este riesgo. Una de las herramientas más comúnmente utilizadas debido a su facilidad de uso y rapidez en la generación de resultados es la matriz de riesgos (MR). Las organizaciones suelen dar prioridad a los criterios de producción, y a menudo ven los recursos destinados a la seguridad laboral como un gasto que no está relacionado con los objetivos productivos de la empresa, es decir, como un costo en lugar de una inversión.

    Según Haddad et al. (2012), se recomienda el uso de la MR como una herramienta altamente efectiva, ya que permite identificar y destacar los riesgos críticos. La herramienta matricial permite determinar el grado de criticidad de cada riesgo en función de las medidas de control implementadas por cada organización, esto permite conocer el estado actual de las empresas objeto de estudio y tomar medidas adecuadas para mejorar la gestión de riesgos en el sector agroindustrial y otras industrias. En consecuencia, la MR puede ser una herramienta valiosa para promover un ambiente laboral más seguro y saludable en las empresas, como lo mencionan Alemayehu et al. (2020).

    En relación con esto, la integración de las metodologías de análisis ambiental y de riesgos laborales mediante la matriz integrada, puede aportar de manera significativa a la mejora de la gestión ambiental y la seguridad laboral de manera conjunta en las empresas, disminuyendo tanto los daños personales como los daños materiales en la empresa, por lo tanto, se reduce el ausentismo de los trabajadores, se mejora su motivación y, en consecuencia, se disminuye la probabilidad del aumento de enfermedades, como señalan Kruse et al. (2019).

    6. CONCLUSIONES

    Esta investigación se enfocó en integrar las metodologías de análisis ambiental y de riesgos laborales con el fin de desarrollar una herramienta matricial que permita relacionarlas de manera concreta. La metodología utilizada se basó en los estándares establecidos por la ACGIH, y se complementó con la medición higiénico-sanitaria a través del uso de equipos de metrología. Se aplicó esta metodología en dos empresas del sector agroindustrial de un municipio del centro del Valle del Cauca, Colombia. La herramienta matricial permitió comparar las concentraciones de los contaminantes encontrados y analizar la aceptabilidad del riesgo, identificando así todos los impactos ambientales que intervienen en las actividades de los procesos y los riesgos comunes que afectan la salud del trabajador.

    La herramienta de diagnóstico integrada representa una mejora en la eficiencia de análisis de información relacionada con los aspectos ambientales y los riesgos laborales en las organizaciones, su contribución al proceso de toma de decisiones es significativa, permitiendo priorizar las actividades de intervención en cualquier área del proceso de producción y beneficiando a la alta dirección. Una ventaja adicional de esta herramienta es su integración con metodologías internacionales establecidas, lo que asegura la actualización en el análisis y propuestas de intervención, permitiendo una toma de decisiones más informada y efectiva.

    En este sentido, la herramienta propuesta puede ser adaptada para su uso en otras organizaciones del mismo sector, ya que se basa en mediciones realizadas en las empresas seleccionadas para el estudio a través del trabajo de campo. Sin embargo, es esencial que se ajuste a las condiciones particulares de cada organización, considerando aspectos como la legislación aplicable, la configuración productiva, la tecnología disponible y los procesos de transformación necesarios. A pesar de ello, el método utilizado es consistente y asegura la integridad de los resultados obtenidos, lo que sugiere que su implementación es viable en este tipo de organizaciones productivas.

    Aspectos complementarios a esta metodología, como el uso de elementos de protección personal definidos por la legislación vigente, el control de las variables metrológicas de los equipos utilizados para la medición de las condiciones, las actividades de mantenimiento y ajuste que realice la organización, deben ser asegurados por los sistemas de gestión de la organización, de manera que el resultado sea sostenible y coherente con el objetivo de bienestar que tienen las empresas para sus trabajadores y partes interesadas.

    CONFLICTOS DE INTERÉS

    Los autores declaran que no presentan conflictos de interés financiero, profesional o personal que pueda influir de forma inapropiada en los resultados obtenidos o las interpretaciones propuestas.

    CONTRIBUCIÓN DE AUTORES

    Para el desarrollo de este proyecto todos los autores han realizado una contribución significativa especificada a continuación:

    María del Pilar Rivera Díaz: conceptualización, diseño, desarrollo de la investigación, metodología, análisis de datos y revisión final del manuscrito.

    Juan Manuel Candelo Viáfara: conceptualización, metodología y análisis de resultados.

    Luis Ferney Bonilla Betancourt: conceptualización, análisis de datos y conclusiones.

    Todos los autores participaron en la redacción del manuscrito.

    NOTAS AL PIE

    • arrow_upward Este artículo es producto del proyecto titulado «Diseño para implementar herramientas de PML a través de la evaluación de riesgos en los procesos productivos de dos empresas industriales del centro del Valle del Cauca», identificado con el código CI-9053 y financiado por la Convocatoria Interna de Proyectos de Investigación y Creación Artística en las Ciencias, las Artes, las Humanidades, las Tecnologías y la Innovación de la Universidad del Valle.
    REFERENCIAS

    • arrow_upward American Conference of Governmental Industrial Hygienists. (2020). TLV´s and BEI´s. Threshold Limit Values for Chemical Substances and Physical Agents Biological Exposure Indices. Cincinnati. OH. USA
    • arrow_upward Alemayehu, Y. A., Asfaw, S. L., y Terfie, T. A. (2020). Exposure to urban particulate matter and its association with human health risks. Environmental Science and Pollution Research, 27(22), 27491-506. https://doi.org/10.1007/s11356-020-09132-1
    • arrow_upward Almeida, J., Sampaio, P., y Santos, G. (2012). Integrated management systems–quality, environment and health and safety: motivations, benefits, difficulties and critical success factors.  International Symposium on Occupational Safety and Hygiene. https://hdl.handle.net/1822/36162
    • arrow_upward Anjard, R. P. (1996). Re-engineering basics: one of three, new, special tools for management, quality and all other professionals. Microelectronics Reliability, 36(2), 213-222. https://doi.org/10.1016/0026-2714(95)00055-7
    • arrow_upward Bai, Z., Han, J.  y Azzi, M. (2017). Insights into measurements of ambient air PM2.5 in China. Trends in Environmental Analytical Chemistry, 13, 1-9. https://doi.org/10.1016/j.teac.2017.01.001
    • arrow_upward Bernardo, M., Casadesus, M., Karapetrovic, S., y Heras-Saizarbitoria, I. (2012). Integration of standardized management systems: does the implementation order matter? International Journal of Operations & Production Management, 32(3), 291-307. https://doi.org/10.1108/01443571211212583
    • arrow_upward Burgos Sánchez, A. J. (2015). Influencia del entorno acústico laboral en el comportamiento audiométrico y su correlación con el registro de otoemisiones acústicas de productos de distorsión. [ Tesis doctoral, Universidad de Alicante].
    • arrow_upward Camacho Fagúndez, D. I. (2013). Estrés Térmico en Trabajadores Expuestos al Área de Fundición en una Empresa Metalmecánica, Mariara. 2004-2005. Ciencia & Trabajo, 15(46), 3-4. http://dx.doi.org/10.4067/S0718-24492013000100007
    • arrow_upward Celik, M. (2009). Establishing an integrated process management system (IPMS) in ship management companies. Expert Systems with Applications, 36(4), 8152-8171. https://doi.org/10.1016/j.eswa.2008.10.022
    • arrow_upward Consejo Colombiano de Seguridad. (2021).Accidentes de Trabajo y Enfermedades Laborales en Colombia. https://ccs.org.co/atel-col-2021/
    • arrow_upward Cortés González, S. L. (2018). Material particulado en el aire y su correlación con la función pulmonar en personas que realizan actividad física en la cicloruta en la localidad de Kennedy en Bogotá: estudio descriptivo transversal. [Tesis de grado, Universidad Nacional de Colombia]. https://repositorio.unal.edu.co/handle/unal/68900
    • arrow_upward Crovini, C., Ossola, G., y Britzelmaier, B. (2021). How to reconsider risk management in SMEs? An Advanced, Reasoned and Organised Literature Review. European Management Journal, 39(1), 118-134.
    • arrow_upward Cuadros Domínguez, J. F.  y Téllez Gaytán, J. C. (2019). Sistema Único Integrado de Gestión: calidad, ambiente, seguridad y salud. Teuken Bidikay-Revista Latinoamericana de Investigación en Organizaciones, Ambiente y Sociedad, 10(14), 121-156. https://doi.org/10.33571/teuken.v10n14a6
    • arrow_upward Cújar-Vertel, A. D. C. y Julio-Espitia, G. P. (2016). Evaluación de las condiciones térmicas ambientales del área de producción en una panadería en Cereté (Córdoba). Entramado, 12(1), 332-343. https://doi.org/10.18041/entramado.2016v12n1.23103
    • arrow_upward Departamento Administrativo de Estadísticas. (2021). Encuesta Anual manufacturera (EAM). https://www.dane.gov.co/index.php/estadisticas-por-tema/industria/encuesta-anual-manufacturera-enam
    • arrow_upward De Paz, J. F., Bajo, J., Borrajo, M. L., Corchado, J. M., y Pellicer, M. (2011). A multiagent system for web-based risk management in small and medium business. En Highlights in Practical Applications of Agents and Multiagent Systems: 9th International Conference on Practical Applications of Agents and Multiagent Systems, 89, 9-17. https://doi.org/10.1007/978-3-642-19917-2_2
    • arrow_upward Díaz Fernández, A., y Soto Piñeros, M. Á. (2019). Eficacia del comparendo ambiental como instrumento de cultura ciudadana en el barrio Ciudad Porfía de Villavicencio (2015-2017). [Tesis de Pregrado, Corporación Universidad de la costa]. http://hdl.handle.net/11323/2273
    • arrow_upward Echeverry, G., Zapata, A. M., Páez, M. I., Méndez, F., y Peña, M. (2015) Valoración del riesgo en salud en un grupo de población de Cali, Colombia, por exposición a plomo, cadmio, mercurio, ácido 2,4-diclorofenoxiacético   y diuron, asociada al consumo de agua potable y alimentos. Biomédica, 35(Supl. 2), 110-119. https://doi.org/10.7705/biomedica.v35i0.2464
    • arrow_upward Environmental Protection Agency. (2004). Air Quality Criteria for Particulate Matter Volume I of II. https://nepis.epa.gov/Exe/ZyPDF.cgi/P100LFIQ.PDF?Dockey=P100LFIQ.PDF
    • arrow_upward Ferreira de Araújo Lima, P., Crema, M., y Verbano, C. (2020). Risk management in SMEs: A systematic literature review and future directions. European Management Journal, 38(1),78-94. https://doi.org/10.1016/j.emj.2019.06.005
    • arrow_upward Fisk, W. J. (2000). Health and productivity gains from better indoor environments and their relationship with building energy efficiency. Annual Review of Energy and the Environment, 25(1), 537-566. https://doi.org/10.1146/annurev.energy.25.1.537
    • arrow_upward Ghantt, T. (2012). Project Risk Management: Using Failure Mode Effect Analysis for Project Management. Plumbline Publishing Group.
    • arrow_upward Gouveia, N., Junger, W. L., Romieu, I., Cifuentes, L. A., Ponce de Leon, A., Vera, J., Strappa, V., Hurtado-Díaz, M., Miranda-Soberanis, V., Rojas-Bracho, L., Carbajal-Arroyo, L., y Tzintzun-Cervantes, G. (2018). Effects of air pollution on infant and children respiratory mortality in four large Latin-American cities. Environmental Pollution, 232, 385-391. https://doi.org/10.1016/j.envpol.2017.08.125
    • arrow_upward Guo, C., Hoek, G., Chang, L. Y., Bo, Y., Lin, C., Huang, B., Chan, T. C., Tam, T., Lau, A. K. H., y Lao, X. Q. (2019) Long-Term Exposure to Ambient Fine Particulate Matter (PM2.5) and Lung Function in Children, Adolescents, and Young Adults: A Longitudinal Cohort Study. Environ Health Perspect, 127(12), 127008. https://doi.org/10.1289/EHP5220
    • arrow_upward Gutiérrez, R. E., Guerra, K. B., y Gutiérrez, M. D. (2018) Evaluación de Riesgo por Estrés Térmico en Trabajadores de los Procesos de Incineración y Secado de una Empresa de Tableros Contrachapados. Información Tecnológica, 29(3), 133-144. http://dx.doi.org/10.4067/S0718-07642018000300133
    • arrow_upward Haddad, A., Galante, E., Caldas, R., y Morgado, C. (2012). Hazard Matrix Application in Health, Safety and Environmental Management Risk Evaluation. Risk Management for the Future: Theory and Cases (29-50).
    • arrow_upward Huang, J., Pan, X., Guo, X., y Li, G. (2018). Health impact of China's Air Pollution Prevention and Control Action Plan: an analysis of national air quality monitoring and mortality data. The Lancet. Planetary health, 2(7), e313–e323. https://doi.org/10.1016/S2542-5196(18)30141-4
    • arrow_upward Invest Pacific. (2019). Informe de gestión. Agencia de promoción de inversión en el pacífico colombiano.
    • arrow_upward Jaroenroy, T. y Chompunth, C. (2019). An alternative integrated occupational health, safety and environmental management system for small and medium-sized enterprises (SMEs) in Thailand. GEOMATE Journal, 17(62), 84-91. https://geomatejournal.com/geomate/article/view/664
    • arrow_upward Jeon, L., Buettner, C. K., y Snyder, A. R. (2014). Pathways from teacher depression and child-care quality to child behavioral problems. Journal of consulting and clinical psychology, 82(2), 225-235.
    • arrow_upward Jørgensen, T. H. (2008). Towards more sustainable management systems: through life cycle management and integration. Journal of cleaner production, 16(10), 1071-1080. https://doi.org/10.1016/j.jclepro.2007.06.006
    • arrow_upward Jørgensen, T. H., Remmen, A., y Mellado, M. D. (2006). Integrated management systems–three different levels of integration. Journal of cleaner production, 14(8), 713-722. https://doi.org/10.1016/j.jclepro.2005.04.005
    • arrow_upward Kang, J., Zhang, J., y Gao, J. (2016). Improving performance evaluation of health, safety and environment management system by combining fuzzy cognitive maps and relative degree analysis. Safety science, 87, 92-100. https://doi.org/10.1016/j.ssci.2016.03.023
    • arrow_upward Kožená, M. y Jelínková, L. (2016). Performance management system and tools contributing to its improvement. En SGEM 2016: Political Sciences, Law, Finance, Economics and Tourism Conference Proceedings. https://dk.upce.cz/handle/10195/67353?locale-attribute=en
    • arrow_upward Kruse, T., Veltri, A., y Branscum, A. (2019). Integrating safety, health and environmental management systems: A conceptual framework for achieving lean enterprise outcomes. Journal of Safety Research, 71, 259–271. https://doi.org/10.1016/j.jsr.2019.10.005
    • arrow_upward Kunovac, A., Hathaway, Q. A., Pinti, M. V., Taylor, A. D., y Hollander, J. M. (2020). Cardiovascular adaptations to particle inhalation exposure: molecular mechanisms of the toxicology. American Journal of Physiology-Heart and Circulatory Physiology, 319(2), H282-H305. https://doi.org/10.1152/ajpheart.00026.2020
    • arrow_upward Labodova, A. (2004). Implementing integrated management systems using a risk analysis based approach. Journal of Cleaner Production, 12(6), 571-580. https://doi.org/10.1016/j.jclepro.2003.08.008
    • arrow_upward Martín-Álvarez, I. D., Rodríguez-Rodríguez, L., Soler-Fernández, F. E., Pérez-labrador, J. H., Perez-Cardoso, J. J., y Arencibia-Parada, N. M. (2022). Cambio climático y bioseguridad en tiempos de la COVID. Revista de Ciencias Médicas de Pinar del Río26(2), e5497. https://revcmpinar.sld.cu/index.php/publicaciones/article/view/5497
    • arrow_upward McDonald, M., Mors, T. A., y Phillips, A. (2003). Management System Integration: Can It Be Done? Quality Progress, 36(10), 67-73.
    • arrow_upward Militaru, E. R. (2005). Sisteme de management: Al calităţii, de mediu, al sănătăţii şi securităţii ocupaţionale. Prezentare succintă. Managementul Calităţii, Buletin AGIR, (1-2), 22-27.
    • arrow_upward Naranjo Riascos, J. (2014) Diseño y plan de implementación de indicadores del sistema de gestión de seguridad y salud en el trabajo de una entidad universitaria. [Tesis de Pregrado, Universidad del Valle]. Facultad de administración. Santiago de Cali. Colombia.
    • arrow_upward Nunhes, T. V., Fererrira Motta, L. C., y de Oliveira, O. J. (2016). Evolution of integrated management systems research on the Journal of Cleaner Production: Identification of contributions and gaps in the literature. Journal of Cleaner Production, 139, 1234–1244. https://doi.org/10.1016/j.jclepro.2016.08.159
    • arrow_upward Olaru, M., Maier, D., Nicoară, D., y Maier, A. (2014) Establishing the basis for Development of an Organization by Adopting the Integrated Management Systems: Comparative Study of Various Models and Concepts of Integration. Procedia - Social and Behavioral Sciences, 109, 693-69. https://doi.org/10.1016/j.sbspro.2013.12.531
    • arrow_upward Organización de las Naciones Unidas para la Alimentación y la Agricultura. (2020).  Datos sobre alimentación y agricultura. https://www.fao.org/faostat/es/#home
    • arrow_upward Oyarzún, M. (2010). Contaminación aérea y sus efectos en la salud. Revista Chilena de Enfermedades Respiratorias, 26(1). http://dx.doi.org/10.4067/S0717-73482010000100004
    • arrow_upward Palacios Guillem, M. (2021). Propuesta de un nuevo procedimiento basado en la norma ISO 9001 para la gestión conjunta de la norma ISO 31000, la filosofía Kaizen y la herramienta Lean Manufacturing en pymes industriales de la Comunidad Valenciana. [Tesis doctoral, Universitat Politècnica de València]. https://doi.org/10.4995/Thesis/10251/178979
    • arrow_upward Pauliková, A., Chovancová, J., y Blahová, J. (2022). Cluster modeling of environmental and occupational health and safety management systems for integration support. International Journal of Environmental Research and Public Health, 19(11), 6588. https://doi.org/10.3390/ijerph19116588
    • arrow_upward Pedraza Melo, N. A. (2018). El clima organizacional y su relación con la satisfacción laboral desde la percepción del capital humano. Revista Lasallista de investigación15(1), 90-101. https://doi.org/10.22507/rli.v15n1a9
    • arrow_upward Pelegrín Mesa, A. y Ortíz Paniagua, L. M. (2014). La contabilidad financiera ambiental. Un análisis desde diferentes contextos. Editorial Universidad de Guadalajara. https://editorial.udg.mx/gpd-la-contabilidad-financiera-ambiental-un-analisis-desde-diferentes-contextos.html
    • arrow_upward Ramírez González, A. y Domínguez Calle, E. A. (2011) El ruido vehicular urbano: problemática agobiante de los países en vías de desarrollo. Revista de la Academia Colombiana de Ciencias Exactas Físicas y Naturales, 35(137), 509-530.
    • arrow_upward Rivera Díaz, M. del P., Rivera Díaz, A., y Candelo Viafara, J. M. (2022). Sistemas Integrados de Gestión: un análisis bibliométrico. Revista Venezolana De Gerencia, 27(7), 612-629. https://produccioncientificaluz.org/index.php/rvg/article/view/38087
    • arrow_upward Rodríguez-Fernández, P., Prat-Aymeric, C., y Domínguez, J. (2019). Interacción entre contaminación ambiental e infecciones respiratorias. Archivos de Bronconeumología, 55(7), 351-352. https://doi.org/10.1016/j.arbres.2018.10.018
    • arrow_upward Roncea, C. (2016). Management systems audit in the annex SL context. The TQM Journal28(5), 786-796. https://doi.org/10.1108/TQM-10-2015-0129
    • arrow_upward Rubio Romero, J. C. (2004). Métodos de evaluación de riesgos laborales. Ediciones Diaz de Santos.
    • arrow_upward Salomone, R. (2008). Integrated management systems: experiences in Italian organizations. Journal of cleaner production, 16(16), 1786-1806. https://doi.org/10.1016/j.jclepro.2007.12.003
    • arrow_upward Samy, G. M., Samy, C. P., y Ammasaiappan, M. (2015). Integrated management systems for better environmental performance and sustainable development-a review. Environmental Engineering and Management Journal, 14(5), 985-1000. https://eemj.eu/index.php/EEMJ/article/view/2260
    • arrow_upward Sharma, R. y Mishra, D. K. (2021). An analysis of thematic structure of research trends in occupational health and safety concerning safety culture and environmental management. Journal of Cleaner Production, 28, 125346. https://doi.org/10.1016/j.jclepro.2020.125346
    • arrow_upward Tello Cabello, S. Y. (2014). Importancia de la micro, pequeñas y medianas empresas en el desarrollo del país. Lex, (14), 201-218. http://dx.doi.org/10.21503/lex.v12i14.623
    • arrow_upward Tepaskoualos, F. y Chountalas, P. (2017). Implementing an integrated health, safety, and environmental management system: the case of a construction company. International Journal for Quality Research, 11(4), 733–752. https://doi.org/10.18421/IJQR11.04-01
    • arrow_upward Tiengtrong, W., Suwannaposi, R., y Klunngien, C. (2023). Utilizing Digital Enabler to Attain Excellent Safety, Security, Health, and Environmental Performance. En International Petroleum Technology Conference. Bangkok, Thailand. https://doi.org/10.2523/IPTC-22717-EA
    • arrow_upward Valbuena, V. (2021). La Sinergia entre el sector público y privado de Colombia como estrategia de reactivación y fortalecimiento a las Mipymes en el escenario de Covid-19 en Colombia. [Tesis de pregrado, Universidad Autonomá de  Bucaramanga]. http://hdl.handle.net/20.500.12749/15114
    • arrow_upward Vieira Nunhes, T., Motta Barbosa, L. C. F., y de Oliveira, O. J. (2017). Identification and analysis of the elements and functions integrable in integrated management systems. Journal of Cleaner Production, 142, Part. 2, 3225-3235. https://doi.org/10.1016/j.jclepro.2016.10.147
    • arrow_upward Whitelaw, K. (2004). Integration of environmental management systems with other management systems. ISO 14001 Environmental Systems Handbook (pp. 143-164). Routledge. https://doi.org/10.4324/9780080478807
    • arrow_upward Wyon, D. P. (2004). The effects of indoor air quality on performance and productivity. Indoor Air, 14(7), 92-101. https://doi.org/10.1111/j.1600-0668.2004.00278.x
    • arrow_upward Zeng, S. X., Shi, J. J., y Lou, G. X. (2007). A synergetic model for implementing an integrated management system: an empirical study in China. Journal of cleaner production, 15(18), 1760-1767. https://doi.org/10.1016/j.jclepro.2006.03.007
    • arrow_upward Zutshi, A., y Sohal, A. (2003). Requirements for a successful integrated management system: The experiences of Australian Organisation. Monash University, 1-20. https://doi.org/10.4225/03/5935fde1ca6e7