Simple theoretical proposal of the dependence of the deGennes extrapolation parameter with the surface temperature of a superconducting sample

Simple propuesta teórica de la dependencia del parámetro de extrapolación de deGennes con la temperatura en la superficie de una muestra superconductora

DOI 10.22430/22565337.1301 Gráficos

Recibido: 18 de mayo de 2018
Aceptado: 06 de febrero de 2019

Abstract

The Time-dependent Ginzburg–Landau model (TDGLM) is a robust tool widely used to analyze the magnetization of the single-vortex state of a mesoscopic superconducting sample in presence of a magnetic field. The algorithm implemented in this work is applied to a square geometry surrounded by different kinds of materials simulated by deGennes extrapolation length b. The inside of the sample remains at constant temperature Ti, while its boundary remains at temperature Ts. This temperature variation in the sample can be generated by a continuous laser wave injected into all the internal points, except for a thin surface layer in the boundary of the material. We found that the b value at Ts = Ti = 0.0, which mimics the magnetization curve for a corresponding Ts, presents a linear dependence with the temperature. Therefore, although within the domain of validity TDGLM the parameter b is to be considered temperature-independent in the vicinity of the bulk critical temperature and that b depends on the density of states near the surface, we propose a simple dependence of b using a TDGLM.

Keywords: Time-dependent Ginzburg–Landau equations, deGennes parameter, Superconductor, Mesoscopic, Magnetization

Resumen

El modelo de Ginzburg - Landau (TDGLM) es una fuerte herramienta ampliamente utilizada para analizar la magnetización de un estado de vórtice simple en una muestra superconductor mesoscópica en presencia de un campo magnético. El algoritmo implementado es aplicado a una geometria cuadrada rodeada de diferentes tipos de materiales (simulados por la longitude de extrapolación de deGennes b). El interior de la muestra se mantiene a una temperatura constante Ti, mientras su frontera permanece a una temperatura Ts. Esta variación de temperatura en la muestra puede ser generada por una onda laser continua inyectada en todos los puntos internos, excepto en una delgada capa en la superficie del material. Encontramos que, el valor de b en Ts = Ti = 0.0, cual imita la curva de magnetización para un respectivo Ts, presenta una dependencia lineal con la temperature. Por lo tanto, aunque dentro del dominio de validez de la TDGLM el parametro b es considerado independiente de la temperature en la vecindad de la temperatura crítica volumétrica y que b depende de la densidad de estados cercal a la superficie, proponemos una dependencia simple de b usando TDGLM.

Palabras clave: Ecuaciones Ginzburg-Landau dependientes del tiempo, Parámetro de deGennes, Superconductor, Mesoscopicos, Magnetización.

1. INTRODUCCIÓN

One way to modify the magnetic response of superconducting samples at low temperature is controlling their boundary conditions. Several theoretical physics models enable to simulate different kinds of material in contact with the sample by varying the deGennes extrapolation length  in the boundary conditions, thus allowing controlling the superconducting critical parameters [1]- [2]. In a recent work, we studied the magnetic response of a superconducting film in absence of a magnetic field, under a continuous electric current, and subjected to different boundary conditions; we found that the critical current for which the first vortex-anti-vortex penetrates the sample, depends strongly with the material in contact with the superconductor [3]. Flux trapping and boundary effects in superconducting slabs and circular geometries have been studied by several authors who found that a superconductor-dielectric interface leads to Bean-Livingston surface barrier, which is responsible for the hysteresis in the magnetization curve. Additionally, a superconductor in contact with another superconductor at different critical temperature  increases the second critical field [4]-[7]. Fink et al. studied the effect of the presence of another material in contact with the superconducting sample (simulated by ) [3,5] on  for various geometries. They found that the deGennes parameter is useful to analyze the variation of Tc in mesoscopic superconductors [8]. Other authors found that the of the sample is very sensitive to electrical fields in a reversible way [9]-[11]. In order to study the  we used a TDGLM in a mesoscopic square where temperature  is locally modified.  is the temperature in the internal points of the sample, while its lateral surface remains at Ts. We changed the boundary conditions until we found a  value that mimicked the magnetization curve at  and  in a single vortex state.

This paper is organized as follows. Section 2 introduces the dimensionless time-dependent Ginzburg–Landau equations [12]-[15] taking into account the general boundary conditions. Section 3 presents the results of the computational simulations for certain temperatures and the deGennes parameter of a superconducting square at Ts.
2. THEORETICAL FORMALISM

In this work, a mesoscopic superconducting square immersed in an external magnetic field H = Hz is simulated with the TDGLM for the order parameter ψ(x,y) and the potential vector A(x,y), where B=∇×A is the magnetic induction. The time-dependent Ginzburg–Landau equations are written as [16]:

∂ψ/∂t= -(i∇+A)2 ψ+(1-T) (1-|ψ|2)ψ     (1)

A/∂t=(1-T) Re [ψ ̅(-i∇-A)ψ]-κ2 ∇×B            (2)

The equations are complemented with specific boundary conditions for the order parameter n· (i∇ + A)ψ = -iψ/b, b is the deGennes parameter and it is characteristic of a superconducting interface with any kind of material. κ is the Ginzburg–Landau parameter, which is material dependent. For convenience, we selected the parameter γ = 1-δ/b, where δ is the size of the grid used to solve Eqs. 1 and 2 computationally. (i) γ = 0 simulates an interface at the normal state, (b = 0, where ψ = 0); (ii) 0 < γ < 1, a superconductor/metal interface (b > δ); (iii) γ = 1, a superconductor/vacuum interface (b→∞); and (iv) a superconductor/superconductor interface is described by γ> 1 (b < 0) [12]-[17].

We chose a square with dimensions Lx = Ly = 3ξ(0), δ=0.1, κ=λ ⁄ ξ=5.0. (typical values for an Pb-In alloy) [18]-[22]. ξ(0) is the coherence length at zero temperature. In this study, we do not consider the heat equation (thermal dissipation), which is associated with the relaxation of the Cooper pair density and it is very important in measurements of magnetization as a function of time [23].

3. RESULTS AND DISCUSSION

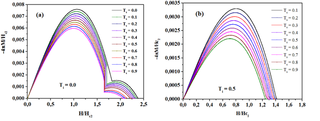
We analyzed the magnetization curves of the deGennes parameter in the single-vortex state using several values. Fig. 1 shows magnetization -4πM as a function of applied magnetic field H for a superconducting/vacuum interface in a single vortex state at T = 0.0 (Fig. 1a) and Meissner state at Ti = 0.5Tc (Fig. 1b). It is widely known that magnetization decreases as Ti increases and the sample becomes less diamagnetic. It can be seen from the plots that the lower critical field H ∼ 1.726H_c2 is practically independent of Ts, and the upper field depends on Ts (see Fig. 2). The Meissner state is presented for the case with Ti = 0.5Tc, and a slow superconductor/normal state occurs due to the temperature dependence with vortex size [2]. In Fig. 3, we plot magnetization as a function of H for several values of γ and Ts. Fig. 3(a): Ti = 0.0 and γ = 0.9985, Ts = 0.1Tc (red and blue lines), γ = 0.9975, Ts = 0.2Tc (green and black lines) and γ = 0.9965, Ts = 0.3Tc (dark cyan and navy blue lines). Fig. 3(b): Ti = 0.5Tc and γ = 0.998,Ts = 0.7Tc (red and blue lines), γ = 0.9965,Ts = 0.8Tc (green and black lines).

Figure 1. (Color online) Magnetization curves for Ts/Tc = 0.0,0.1,0.2,0.3,0.4,0.5,0.6,0.7,0.8,0.9 and 𝛾 = 1.0, for (a) the single vortex state at Ti = 0.0 and (b) the Meissner state at Ti = 0.5Tc
Source: Authors’ own work.
Figure 2. (Color online) Phase diagram H - T showing the first vortex penetration field H1 and superconducting-normal transition field H2 at Ti = 0.0 and work
Source: Authors’ own work.

We calculated the error in the maximum difference of the magnetization curves by comparing all cases with γ = 1.0 and Ti = Ts = 0.0. We thus found a percentual error E ∼ 1% and, based on this criterion, we can say that the curves are very similar. We also established that γ presents an analytical dependence with T = Ts, as γ(T ) = 0.9980 - 0.0118T (see Fig. 3, left). In Fig. 4, we plot γ as a function of Ts when the magnetization curves are similar for Fig. 4(a) Ti = 0.0 and Fig. 4(b) Ti = 0.5. As we can see in Fig. 4(b), there is a deflection in the slope of γ(T) when Ts >Ti from γ(T)=1.0062-0.0125T for γ > 1.0 to γ(T) = 1.0085-0.0150T for γ < 1.0. This is due to a super conductor-superconductor (superconductor-metal) interface. The surface barrier is enhanced (suppressed) and, consequently, diamagnetism increases (decreases) and an interface with γ > 1.0 (0 < γ < 1.0) must be chosen. Our results show dependence for the critical temperature with the boundary simulated by the deGennes parameter b.

Figure 3. (Color online) Magnetization curves for (a) Ti = 0.0 and 𝛾 = 09985, Ts = 0.1 (red and blue lines), 𝛾 = 0.9975, Ts = 0.2 (green and black lines) and 𝛾 = 0.9965, Ts = 0.3 (dark cyan and navy blue lines). (b) Ti = 0.5 and 𝛾 = 0.9980, Ts = 0.7 (red and blue lines), 𝛾 = 0.9965, Ts = 0.8 (green and black lines).
Source: Authors’ own work.
Figure 4. Inverse of the deGennes parameter 𝛾 as a Τ = Ts function for (a) Ti = 0.0 and (b) Ti = 0.5.
Source: Authors’ own work.
4. CONCLUSIONS

In summary, we analyzed the numerical results of the magnetization curves of a mesoscopic superconducting square sample embedded in a thermal bath at different temperatures T and boundary conditions γ. A metallic (superconducting) material in contact with the sample suppressed (enhanced) the surface superconductivity. Therefore, we could find a temperature of the surface for which Ts≠Ti when γ=1, mimicking the result for Ts=Ti when γ ≠1. We found a highly possible value for γ at Ti = Ts = 0.0 at which the magnetization curve is similar to the one simulated with each Ts. We found that, for a square sample surrounded by different kinds of materials, in the Ginzburg–Landau model, the critical temperature of these materials for the studied samples at T = 0.0 exhibits a dependence γ(T) = 0.998 - 0.0118T. In terms of the deGennes parameter, we have b(T)=(0.085-0.15T)^(-1) ξ(0).

5. ACKNOWLEDGEMENTS

The authors would like to thank Edson Sardella for all the very useful discussions.

6. REFERENCES
  • arrow_upward [1] P. G. De Gennes, Superconductivity of Metals and Alloys, 1st ed. New York: Advanced Books Classics, 1966.
  • arrow_upward [2] M. Tinkham, Introduction to Superconductivity, 2nd ed. New York: McGraw-Hill Book Co., 1996.
  • arrow_upward [3] J. Barba-Ortega, E. Sardella, and R. Zadorosny, “Influence of the deGennes extrapolation parameter on the resistive state of a superconducting strip,” Phys. Lett. A, vol. 382, no. 4, pp. 215–219, Jan. 2018.https://doi.org/10.1016/j.physleta.2017.11.010
  • arrow_upward [4] J. Barba-Ortega, C. C. de S. Silva, and J. A. Aguiar, “Superconducting slab in contact with thin superconducting layer at higher critical temperature,” Phys. C Supercond., vol. 469, no. 14, pp. 852–856, Jul. 2009. https://doi.org/10.1016/j.physc.2009.06.001.
  • arrow_upward [5] J. Barba-Ortega, E. Sardella, and J. A. Aguiar, “Superconducting boundary conditions for mesoscopic circular samples,” Supercond. Sci. Technol., vol. 24, no. 1, p. 015001, Jan. 2010. https://doi.org/10.1088/0953-2048/24/1/015001.
  • arrow_upward [6] B. J. Baelus, B. Partoens, and F. M. Peeters, “One-dimensional modulation of the superconducting boundary condition for thin superconducting films,” Phys. Rev. B, vol. 73, no. 21, p. 212503, Jun. 2006. https://doi.org/10.1103/PhysRevB.73.212503

  • arrow_upward [7] M. M. Doria, A. R. de C. Romaguera, and F. M. Peeters, “Effect of the boundary condition on the vortex patterns in mesoscopic three-dimensional superconductors: Disk and sphere,” Phys. Rev. B, vol. 75, no. 6, p. 064505, Feb. 2007. https://doi.org/10.1103/PhysRevB.75.064505.
  • arrow_upward [8] H. J. Fink, S. B. Haley, C. V. Giuraniuc, V. F. Kozhevnikov, and J. O. Indekeu, “Boundary conditions, dimensionality, topology and size dependence of the superconducting transition temperature,” Mol. Phys., vol. 103, no. 21–23, pp. 2969–2978, Nov. 2005. https://doi.org/10.1080/00268970500226189.
  • arrow_upward [9] M. Salluzzo et al., “Indirect Electric Field Doping of the CuO2 Planes of the Cuprate NdBa2 Cu3 O7 Superconductor,” Phys. Rev. Lett., vol. 100, no. 5, p. 056810, Feb. 2008. https://doi.org/10.1103/PhysRevLett.100.056810.
  • arrow_upward [10] A. S. Dhoot, S. C. Wimbush, T. Benseman, J. L. MacManus-Driscoll, J. R. Cooper, and R. H. Friend, “Increased Tc in Electrolyte-Gated Cuprates,” Adv. Mater., vol. 22, no. 23, pp. 2529–2533, May. 2010. https://doi.org/10.1002/adma.200904024.

  • arrow_upward [11] X. Leng, J. Garcia-Barriocanal, S. Bose, Y. Lee, and A. M. Goldman, “Electrostatic Control of the Evolution from a Superconducting Phase to an Insulating Phase in Ultrathin YBa2 Cu3 O7-x Films,” Phys. Rev. Lett., vol. 107, no. 2, p. 027001, Jul. 2011. https://doi.org/10.1103/PhysRevLett.107.027001.