Recibido: 2 de diciembre de 2019
Aceptado: 4 de abril de 2020
Las prácticas profesionales son un elemento formativo esencial, debido a que su componente vivencial permite la valoración, entre otros, del impacto de la formación académica integral del estudiante. Por tanto, la evaluación de las prácticas profesionales es una fuente de información clave para la institución formadora. En este artículo se analiza la información obtenida de las evaluaciones realizadas por los estudiantes del pregrado en Microbiología de la Universidad de Antioquia entre 2009 y 2018. Un total de 335 evaluaciones fueron analizadas, empleando medidas de resumen y comparaciones entre las cohortes con intervalos de confianza para la media y Anova, en SPSS 25.0®. Asimismo, la rúbrica diseñada para evaluar tres dimensiones de la práctica (Programación, Administración/Gestión y Facilitador) se validó utilizando el Análisis Factorial Exploratorio y la determinación del Alfa de Cronbach. Los resultados muestran el impacto de la práctica profesional en las tres dimensiones evaluadas y en sus criterios. Los promedios de rendimiento son superiores al 90 %, con correlaciones positivas entre sí, sin diferencias significativas por cohortes, durante el periodo evaluado. Se demuestra así la perspectiva positiva de los estudiantes hacia la práctica profesional y los escenarios de práctica profesional disponibles para el programa; además se corrobora la efectividad de la rúbrica empleada como instrumento de evaluación.
Palabras clave: aprendizaje experiencial, competencias en microbiología, instituciones académicas, participación de los estudiantes, prácticas profesionales, voz de los estudiantes.
Professional practices are an essential educational element, since their hands-on component allows for the evaluation of the impact of the student's integral academic formation, among other factors. The evaluation of professional practices is therefore a key source of information for the educational institution. This article analyzes the information obtained from the evaluations made by the undergraduate students in Microbiology of the University of Antioquia between 2009 and 2018. A total of 335 evaluations were analyzed, using summary measures and comparisons between cohorts with confidence intervals for the mean and Anova, in SPSS 25.0®. Likewise, the rubric designed to evaluate three dimensions of the practice (Programming, Administration/Management and Facilitator) was validated using Exploratory Factor Analysis and Cronbach's Alpha determination. The results show the impact of professional practice on the three dimensions (and their criteria) evaluated. The performance averages are above 90 %, positively correlated with each other, with no significant differences by cohorts, during the period evaluated. This demonstrates the positive perspective of the students towards the professional practice and the professional practice scenarios available for the program; it also corroborates the effectiveness of the rubric used as an evaluation instrument. Also, the evaluation among cohort did not show significant differences in the period analyzed. The observed result evidences the positive perspective of student regarding of the practice and practice site available for the Microbiology program. Likewise, the effectiveness of the designed rubric used as an evaluation instrument.
Keywords: experiential learning, microbiology competencies, academic institutions, student engagement, professional work placement, student voice.
El programa de Microbiología Industrial y Ambiental de la Universidad de Antioquia (Colombia) fue creado en el 2005 con una estructura curricular conformada por tres niveles académicos: básico, electivo y profesional. En este último nivel se sitúan las dos prácticas profesionales que se realizan en el último año y que son entendidas «como un proceso sistemático de formación académica, caracterizado por el desarrollo de labores de enseñanza personalizada e integral, en escenarios diferentes al aula» (
uno de los principales pilares de esta formación inicial, pues conforma el primer contacto con la realidad de las aulas y con su futura profesión, y permite a los alumnos ejercitarse en un ámbito similar al que en el futuro se encontrarán, dotándoles de marcos de referencia para adquirir actitudes, aptitudes, destrezas y competencias profesionales (p. 272).
En su estructura filosófica, el programa tiene como propósito la formación integral de microbiólogos industriales y ambientales, en el marco de la ética, los valores ambientales, con conciencia social y trabajo interdisciplinario (
Por tanto, el contexto en el que se desarrollan las prácticas profesionales es propicio para evaluar y validar de manera regular, consciente y consecuente, la pertinencia del currículo. Precisamente, la Universidad de Antioquia declara que las prácticas académicas que
integran y realimentan la investigación, la docencia y la extensión; propician la integración y la interacción permanente con el contexto político, económico, social, ambiental y cultural; y mantienen comunicación con la sociedad para la transformación recíproca de la Universidad y de la Sociedad (Acuerdo Superior 418 de 2014, p. 3 ).
Igualmente, es preciso considerar que la universidad en general, y en especial la de carácter público, tiene compromisos irreductibles con la sociedad. Quizá el más importante se vea materializado en la cualificación humana y disciplinar de sus estudiantes, propósito en el que se hacen relevante las prácticas académicas, en la medida que viabiliza dicho compromiso con el estudiante, la universidad y la sociedad en sus distintas esferas. Esta manera de asumir tal compromiso permite el cumplimiento de la responsabilidad social universitaria, la cual «acrecentará el capital cognoscitivo, con calidad y pertinencia, al tiempo que fomentará en el contexto una cultura de desarrollo de la ciudadanía responsable, emprendedora, ética y solidaria» (
En el marco de las anteriores consideraciones se origina la presente investigación, la cual se propuso evaluar las prácticas profesionales desde la perspectiva de los estudiantes del pregrado en Microbiología de la Universidad de Antioquia, durante el periodo 2009-2018. Centrar la atención en estos actores del entramo educativo es volver la mirada hacia el centro de atención del proceso formativo. Al momento de evaluar las prácticas académicas, la voz del estudiante posee un especial sentido, en la medida en que sobre él recaen todos los aciertos y desaciertos del sistema educativo institucional, que a su vez se inserta en un macrosistema que lo subsume y del que adopta toda su complejidad.
En consecuencia, para que el estudiante tenga éxito en su formación universitaria y posterior vida laboral, deberá responder satisfactoriamente a los requerimientos y demandas de dicho sistema. Por esta razón, su evaluación se torna significativa, porque es un proceso que parte de sus vivencias, lo que en gran medida marcará la pauta para la reflexión de todos los actores involucrados y para la elaboración y ejecución de planes de mejora del proceso educativo. No en vano estudios recientes sostienen que las prácticas externas se consolidan como un periodo excepcional para que el estudiante se sumerja en los contextos profesionales y alcance competencias propias de la profesión, de un modo activo y reflexivo, favoreciendo además el encuentro con los sentimientos particulares del estudiante, sus miedos y sus esperanzas futuras (
En el anterior contexto se hace imperativa la evaluación, entendida como la posibilidad de
construir juicios fundados, elaborados en el marco de un proceso sistemático. Este punto marca la frontera entre una evaluación informal, de aquella que toma en consideración recaudos metodológicos y técnicos para asegurar la construcción de juicios caracterizados por su validez y confiabilidad (Poggi, 2008, p. 43 ),
mediante la utilización de instrumentos de evaluación que concretan la estrategia y la herramienta para valorar el desempeño del estudiante a partir de criterios y niveles de referencia establecidos (
La rúbrica o matriz de valoración es el conjunto de criterios que se utilizan para determinar el nivel de ejecución al que llega un estudiante durante la realización de una determinada actividad. Permite determinar niveles de ejecución. Hace referencia a la calidad de las respuestas esperadas con relación al uso de destrezas o a la aplicación de los conceptos desarrollados (Finkelstein, 2016, p. 37 ).
En esta línea se inscribe el objetivo del presente estudio, en la medida en que se propone evaluar las prácticas profesionales desde la perspectiva de estudiantes de último año de Microbiología Industrial y Ambiental de la Universidad de Antioquia, entre 2009-2018, mediante el empleo de una rúbrica diseñada para tal fin.
En relación con el tipo de estudio, se analizaron los formatos de evaluación presentados por los estudiantes del programa Microbiología Industrial y Ambiental de la Universidad de Antioquia, Colombia, que correspondieron a 17 cohortes de prácticas entre los años 2009 a 2018. En estos formatos de evaluación, los estudiantes consignaron, de manera independiente, su apreciación sobre el escenario en el cual realizaron su práctica, además de otras consideraciones en relación con la pertinencia y el aporte que esta actividad de entrenamiento en el mundo laboral aporta a la construcción de su identidad profesional.
Con respecto a los sujetos de estudio, la información se obtuvo de una fuente de información primaria que corresponde al formato de evaluación diligenciado por los estudiantes al finalizar su práctica profesional. Se analizaron un total de 335 evaluaciones, con un promedio de 21 instituciones evaluadas por cohorte de estudiantes. Los criterios de inclusión consistieron en el cumplimiento de los requisitos establecidos por la Escuela de Microbiología, en relación con los criterios que debe cumplir un escenario de práctica para constituirse como tal y que se encuentran definidos en la normativa institucional. No se estimó una muestra ni un sistema de muestreo, dado que se analizó la totalidad de las instituciones evaluadas. El formato de evaluación utilizado fue diseñado por los coordinadores de Práctica del momento; asimismo, fue revisado y avalado por el Comité de Práctica del Programa, por los coordinadores de las Prácticas de la universidad y las instituciones de práctica profesional.
La versión final del instrumento de evaluación consiste en una rúbrica que incluye cuatro criterios para evaluar la calidad de la Programación de la práctica, a saber, 1) disponibilidad y conocimiento, 2) cumplimiento de los objetivos, 3) desarrollo del contenido y 4) perfil profesional; tres criterios para evaluar la dimensión de Administración y Gestión, a saber, 1) estructura de la práctica, 2) disponibilidad y acceso a recursos, y 3) clima organizacional; y dos criterios de evaluación del Facilitador, a saber, 1) conocimientos y 2) actividades académicas desarrolladas durante el periodo en estudio). Para controlar sesgos de información, los estudiantes diligencian las rúbricas de manera independiente (sin presencia del coordinador) y ciega (sin conocer la evaluación que recibió de parte del coordinador de la Práctica) (ver Tabla 1). La escala de evaluación de cada uno de los indicadores fue la siguiente:
La descripción de las cohortes se realizó con frecuencias absolutas y relativas; la descripción de los resultados de la evaluación de cada uno de los ítems de la rúbrica, así como las dimensiones de Programación, Administración y Facilitador, se realizó con medidas de resumen. La comparación de los resultados de las tres dimensiones evaluadas en la población total, así como en las diferentes cohortes, se realizó con base en intervalos de confianza del 95 % para la media.
Para demostrar la reproducibilidad de los resultados de las rúbricas, se determinó su fiabilidad aplicando el Alfa de Cronbach para los ítems de cada dimensión; la consistencia interna con correlaciones Rho de Spearman para los resultados de cada ítem con la calificación de cada dimensión, y el poder discriminante a partir de correlaciones entre los ítems y las dimensiones a las cuales no pertenece. Se determinaron los coeficientes Rho de Spearman para evidenciar la convergencia de las diferentes dimensiones de la evaluación y la calificación final. Además, se demostró la validez predictiva de los resultados, por medio de la proporción de la varianza explicada por los ítems contenidos en la rúbrica, así como la validez de contenido por medio de un análisis factorial exploratorio que permitió estimar las comunidades y las cargas factoriales (coeficientes λ). Los análisis se realizaron en SPSS 24.0® (
De igual manera, cabe anotar que el proyecto se acogió a las directrices internacionales de la Declaración de Helsinki (
En las 17 cohortes analizadas se incluyeron 335 evaluaciones a los escenarios donde los estudiantes del programa de Microbiología Industrial y Ambiental realizan las prácticas profesionales. La primera cohorte presentó la menor frecuencia con 5 instituciones y la cuarta presentó la mayor frecuencia con 32 instituciones.
En las tres dimensiones evaluadas, así como en los ítems que las conforman, se hallaron excelentes resultados, con puntajes promedio superiores al 90 % de rendimiento. Con base en el primer cuartil, más del 75 % de los sitios de práctica profesional presentaron una evaluación con desempeño mayor al 90 % en todos los criterios de evaluación (ver Tabla 2).
Con respecto a la fiabilidad de los ítems incluidos en la evaluación de las tres dimensiones, se halló un resultado excelente, en la medida en que los criterios para la dimensión de Programación presentaron un Alfa de Cronbach de 0,873; en los ítems relacionados con la Administración fue 0,803 y en el de Facilitador fue 0,726.
El porcentaje de éxito en la consistencia interna de cada dimensión fue de 100 %, en la medida en que todos presentaron una correlación de magnitud alta (Rho de Spearman ≥ 0,70) con la dimensión a la cual pertenecen. De igual manera, en el poder discriminante también se registró un 100 % de éxito en la medida que la correlación de los ítems analizados fue menor con las dos dimensiones a las cuales no pertenece, en comparación con la dimensión de la cual hacen parte (ver Tabla 3).
Estos resultados evidencian la excelente reproducibilidad psicométrica de los criterios seleccionados para la evaluación de los sitios de práctica profesional. En adición, las tres dimensiones evaluadas presentaron correlaciones positivas, lo que indica que las instituciones con mejores resultados en la dimensión de Programación confluyen con los mejores resultados en la Administración y el Facilitador (Figura 1).
**Vp Rho de Spearman< 0,01.
En la validez psicométrica de los criterios de evaluación, el análisis factorial exploratorio evidenció que estos cargan al mismo componente o constructo evaluado, con una alta validez predictiva (varianza explicada), demostrando la pertinencia de su elección (ver Tabla 4).
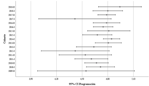
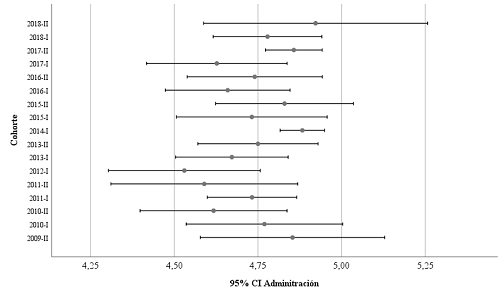
Una vez demostradas las propiedades de reproducibilidad y validez de los criterios de evaluación y su agrupación en tres dimensiones, se estimaron los resultados globales de desempeño, en el cual la Programación registró una media de 4,67 (IC95 % = 4,62-4,73), Administración de 4,71 (IC95 % = 4,66-4,76) y Facilitador de 4,72 (IC95 % = 4,66-4,78). En el análisis por cohorte, la Programación no registró diferencias estadísticamente significativas y solo en los periodos 2012-1 y 2017-1 se hallaron resultados menores al 90 % de rendimiento con una media de 4,4. En la dimensión de administración, se hallaron diferencias estadísticamente significativas con resultados más elevados en las cohortes 2014-1 y 2017-2, en comparación con la media grupal, comportamiento similar al hallado para la evaluación del Facilitador (ver Figura 2).


La evaluación de las prácticas profesionales, desde la perspectiva de los estudiantes de Microbiología Industrial y Ambiental, durante su primera década de implementación del proceso de prácticas profesionales tuvo un excelente comportamiento. Tal estimativo está fundamentado en las notas obtenidas en cada una de las dimensiones estudiadas: Programación, Administración y Facilitador. La valoración de excelencia en las citadas dimensiones es relevante y retadora para todos los actores del sistema educativo, y más específicamente para el de prácticas profesionales, máxime cuando autores como
La superación de esta advertencia se observa en la dimensión Programación, que incluía los ítems de disponibilidad y conocimiento, cumplimiento de objetivos, desarrollo del contenido y perfil profesional, que registró en su valoración global una media de 4,67 (IC95 % = 4,62-4,73). Lo que demuestra que todos los ítems contenidos en el apartado de programación y valorados por los estudiantes practicantes se ubicaron en el nivel de excelente. No obstante, al observar estos resultados en una perspectiva más global se encuentra que «los sistemas de evaluación son administrados en diferentes formas a nivel mundial y no hay un acuerdo sobre qué es una buena conducta académica» (
El objetivo de una buena evaluación no es tanto realizar un juicio de valor que sirva de calificación del Prácticum, sino de cerrar un ciclo de aprendizaje, que dé pie a otro que le facilite el éxito profesional en el ejercicio de la titulación que obtendrá (p. 17).
Un elemento más para resaltar es que el cumplimiento exitoso de los objetivos de una práctica profesional, que definen finalmente el perfil profesional del egresado, debería coincidir con su incursión exitosa en la dinámica social, propósito que no solo preocupa a nivel local, sino también en otros espacios, como el europeo:
De todos los cambios que ha provocado la integración de España en el Espacio Europeo de Educación Superior, el más significativo sin duda alguna es el cambio en el planteamiento que provoca la necesidad de transferir los resultados hacia la sociedad (Gutiérrez Broncano & de Pablos Heredero, 2010, p. 338 ).
Respecto a la dimensión Administración, que incluye aspectos como estructura de la práctica, disponibilidad y acceso a recursos y clima organizacional, aquí se resalta el óptimo resultado global obtenido de 4,71 (IC95 % = 4,66-4,76), el cual se traduce en el alto grado de aceptabilidad y satisfacción que han tenido los estudiantes en los escenarios de práctica profesional durante 17 cohortes. Asunto que no pasa desapercibido si se tiene en cuenta lo que argumenta
De otro lado, es preciso señalar que el resultado de este estudio presenta algunos puntos coincidentes con uno similar desarrollado por
La opinión general de los alumnos respecto a las prácticas es que están bastante satisfechos con la “Capacidad docente durante el rotatorio” (x̄ = 4,2; DE= 0,6), están menos satisfechos con el “Apoyo recibido por los profesionales” (x̄ = 3,7; DE= 1) y muestran buenas puntuaciones con la “Satisfacción general” (x̄ = 4,3; DE= 0,8) (p. 7).
Valoraciones que, al igual que las obtenidas en el presente estudio, aportarían significativamente para el mantenimiento de un buen clima organizacional, elemento determinante al momento de evaluar la dimensión Administración. En el marco de los altos niveles de valoración obtenidos, también se resalta que el sistema de evaluación empleado en el estudio en cuestión permite revindicar que
la evaluación se convierte verdaderamente en una herramienta de apoyo académico de gran valor para lograr que los estudiantes alcancen los niveles de competencia esperados, al recibir, de modo permanente, información que les permite comprender el porqué de sus éxitos y de los obstáculos que encuentran, y la orientación sobre cómo superarlos (Serrano de Moreno, 2002, p. 256 ).
La tercera dimensión que conforma la triada de este estudio es la del Facilitador, quién se sitúa en el escenario de práctica y es quien guía al estudiante durante su periodo. En el facilitador recae un alto grado de responsabilidad, en cuanto al éxito o fracaso del proceso que conlleva la práctica. Él es quien apoya al estudiante para que tenga una acertada incursión en el ambiente laboral, pero además está atento para que las dimensiones Programación y Administración funcionen idóneamente. De ahí que la excelente valoración realizada por los estudiantes, traducida en cifras a 4,72 (IC95 %= 4,66-4,78), haga parte importante de la explicación del buen comportamiento de las tres dimensiones durante las 17 cohortes evaluadas.
Entre las actividades académicas desplegadas por el facilitador está aquella relacionada con todo lo que le permita al estudiante evaluarse regularmente, consolidándose la autoevaluación como un elemento importante para emprender acciones de mejora durante y después de la práctica. En tanto que «el objetivo que se persigue en la educación es que el docente intervenga y les permita a sus estudiantes ser responsables de su evaluación para que logren la autonomía personal que tan útil será en la vida profesional y laboral» (
la figura del tutor de la empresa tiene una importancia vital para los estudiantes y que el hecho de disponer de un tutor en la universidad debe servir para cumplimentar –y nunca suplir- las tareas que hace el tutor de la empresa (p. 6).
La claridad sobre las funciones de cada uno de los facilitadores fue determinante para los estudiantes al momento de evaluar tal dimensión, «al facilitar una perspectiva reflexiva, crítica e innovadora […] en los procesos de formación» (
Adicionalmente, lo aquí expuesto pudo ser visibilizado y evaluado gracias a que se dispone de una rúbrica con excelente reproducibilidad y validez psicométrica mediante la cual los estudiantes pueden evaluar las prácticas profesionales. A este respecto, como lo sugieren autores como
«Se puede afirmar también que cuando se evalúa con rúbricas, el estudiante entiende por qué razón obtiene una determinada nota, qué es capaz de hacer y qué le falta para ir al siguiente nivel o al más superior» (
La rúbrica es una herramienta versátil que provee al alumno, por una parte, de un referente que proporciona un feedback relativo a cómo mejorar su trabajo y, por otra, proporciona al profesor la posibilidad de manifestar sus expectativas sobre los objetivos de aprendizaje fijados (pp. 118-119).
Como los docentes nos vemos obligados a calificar a los estudiantes, la rúbrica podría constituir un instrumento cerrado y no negociable en dicha evaluación. Sin embargo, su utilización y conocimiento previo ha supuesto una ayuda, facilitando la orientación en su estructura y sus contenidos (
Las competencias del alumno determinan aquello que deben aprender los estudiantes y aquello que debe ser evaluado, además de constituir el eje de todo el proceso de enseñanza-aprendizaje. [De esta manera], su definición es una tarea fundamental, tanto para los agentes implicados en la formación del futuro profesional como para las instituciones [académicas] y la sociedad en general (Falcó Pegueroles, 2004 ).
Finalmente, se destaca que una de las limitaciones del presente estudio es la carencia de otros trabajos relacionados con la evaluación de las prácticas profesionales desde la perspectiva de los estudiantes, y más específicamente en el área de la Microbiología, asunto relevante al momento discutir los resultados aquí presentados. Asimismo, nuestro trabajo puede convertirse en un aliciente para que investigadores de diferentes programas de pregrado y posgrado amplíen esta línea de trabajo enfocándose en cómo, desde la perspectiva del estudiante, podría lograrse la articulación efectiva entre las áreas de conocimiento que necesita el sector empresarial para satisfacer su perfil profesional y la respuesta en términos de formación impartida en las universidades (
La realización de este trabajo de investigación permitió comprobar la certeza y validez de los resultados observados, en relación con la percepción que tienen los estudiantes del programa de Microbiología Industrial y Ambiental de la Universidad de Antioquia frente a los escenarios de práctica de los cuales dispone el Programa. La información presentada es una recopilación de las practicas realizadas durante el periodo comprendido entre los años 2009 a 2018, es decir una década de implementación del proceso de prácticas profesionales. Los datos del estudio brindan información validada sobre diferentes dimensiones que hacen parte del proceso de prácticas, de igual manera permite intuir los objetivos y las expectativas que tienen los estudiantes frente a su rol como profesionales, así como evidenciar las dificultades que se les han presentado durante el desarrollo de la práctica y cómo en su rol como estudiantes se organizan, evalúan y se autoevalúan. En este sentido, cabe anotar que los escenarios de práctica que fueron evaluados en el periodo definido registraron un nivel de percepción considerablemente alto en las diferentes dimensiones evaluadas, lo que pone de manifiesto, a su vez, la concordancia entre las expectativas de los estudiantes, el perfil de formación definido para el programa de pregrado y la construcción de la identidad profesional del estudiante. Asimismo, como se ha señalado anteriormente, este trabajo presenta un valor agregado en la medida en que pone a prueba una rúbrica que puede aplicarse para la evaluación de los escenarios de las prácticas profesionales en general, con un elemento fundamental, y es que está demostrada su validez y reproducibilidad para este fin.
A la Universidad de Antioquia, a los estudiantes del programa Microbiología Industrial y Ambiental, profesores, personal administrativo y escenarios de práctica profesional, que a lo largo de estas 17 cohortes han hecho significativos aportes para obtener a la fecha los excelentes resultados mostrados en este estudio.